
국립생태원에서 제공하는 수많은 자료를 e-Book으로 볼 수 있습니다.
통합검색

제목 : (제4차) 전국내륙습지 정밀조사(’19)
발행일 : 2019-01-01 | 조회수 : 14369
카테고리 :
213 분류군명 현지조사 a b c d Oligonyx vulnerata Butler, 1878 끝갈색밤나방 4 Pyrrhidivalva sordida Butler, 1881 구리빛밤나방 1 Calloistria albolineola Graeser, 1889 흰줄어린밤나방 4 Spodoptera litura Fabricius, 1775 담배거세미나방 2 Spodoptera exigua H?bner, 1808 파밤나방 8 3 Spodoptera depravata Butler, 1879 잔디밤나방 1 Elaphria venustula H?bner, 1790 앞은무늬작은밤나방 앞은무늬꼬마밤나방 2 Athetis gluteosa Treitschke, 1835 각...

제목 : (2016) 백두대간보호지역 생태계 조사.추풍령~밀재
발행일 : 2014-01-01 | 조회수 : 13805
카테고리 :
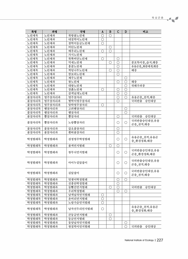
육 상 곤 충 National Institute of EcologyⅠ227 목명 과명 국명 A B C D 비고 노린재목 노린재과 북방풀노린재 ○ ○ 노린재목 노린재과 네점박이노린재 ○ 노린재목 노린재과 점박이둥글노린재 ○ 노린재목 노린재과 비단노린재 ○ 노린재목 노린재과 메추리노린재 ○ ○ 노린재목 노린재과 가시노린재 노린재목 노린재과 북쪽비단노린재 ○ ○ 노린재목 노린재과 억새노린재 ○ ○ 분포특이종_습지,해충 노린재목 노린재과 홍줄노린재 ○ 유용곤충_화분매개,해충 노린재목 노린재과 썩덩나무노린재 ○ ○ 해충 노린재목 노린재과 깜보라노린재 ○ 노린재목 노린재과 제주노린재 ○ 노린재목 노린재과 왕노린재 ○ ○ 해충 노린재목 노린재과 대왕노린재 ○ 위해우려종 노린재목 노린재과 장흙노린재 ○ ○ ○ 노린재목 노...

제목 : 백두대간보호지역 생태계 조사.묘적재~화방재
발행일 : 2017-01-01 | 조회수 : 17911
카테고리 :
2017 백두대간보호지역 생태계 조사 묘적재 화방재 228 ? National Institute of Ecology 참고문헌 Byun, B.K., Y.S. Bae, and K.T. Park. 1998. Illustrated Catalogue of Tortricidae in Korea Lepidoptera In Park, K.T. eds Insects of Korea [2], 317pp. Kim, S.S., E.A. Beljaev, and O.H. Oh. 2001. Illustrated Catalogue of Geometridae in Korea LepidopteraGeometrinae, Ennominae In Park, K.T. eds Insects of Korea [8], 279pp. Paek, M.K. ...

제목 : 외래생물 전국 서식 실태조사. 3
발행일 : 2017-01-01 | 조회수 : 23719
카테고리 :
예천 16-1 조사지점 예천 16-2 조사지점 예천 16-3 조사지점 예천 16-4 조사지점 예천 16-5 조사지점 예천 16-6 조사지점 예천 16-7 조사지점 예천 16-8 조사지점 그림 Ⅳ- 3. 경상북도 외래곤충 조사지점 전경 계속 215

제목 : 선형사업대상 생태분야 환경영향평가 방법 연구. Ⅰ
발행일 : 2017-01-01 | 조회수 : 10149
카테고리 :
약어 BO SM SG P0 P25 P50 P75 P100 P0 P25 P50 P75 P100 P0 P25 P50 P75 Ab.av ○ Ai.al ○ ○ ○ ○ ○ ○ ○ ○ ○ ○ ○ ○ Am.li ○ ○ ○ ○ ○ ○ Am.re ○ ○ ○ ○ ○ Am.ar ○ ○ ○ ○ ○ ○ ○ ○ ○ ○ ○ ○ ○ Am.tr ○ ○ ○ ○ ○ ○ ○ ○ ○ ○ Am.fr ○ ○ ○ ○ ○ ○ ○ ○ ○ ○ ○ ○ ○ ○ As.pi ○ ○ ○ ○ ○ ○ ○ Av.fa ○ ○ ○ ○ ○ ○ ○ ○ Av.sa ○ ○ ○ Bi.fr ○ ○ ○ ○ ○ ○ ○ ○ ○ ○ ○ ○ Bi.du Br.ju ○ Br.te Ca.ci ○ ○ Ca.cr ○ ○ ○ ○ ○ ○ ○ ○ ○ Ce.cy ○ ○ Ch.fi ○ ○ ○ ○ ○ Ch.gl...