
국립생태원에서 제공하는 수많은 자료를 e-Book으로 볼 수 있습니다.
통합검색


제목 : (제4차) 전국내륙습지 정밀조사(’19)
발행일 : 2019-01-01 | 조회수 : 14487
카테고리 :
188 현장조사 방법은 전국내륙습지 조사지침 에 따라 각 조사 구역마다 생물서식환경의 `11 이질성과 현지조사 시기에 출현 예상되는 분류군 생태를 고려하여 하구역의 다양한 서식 지 유형이 포함되도록 설정했으며 중요 종에 대해 현장 사진 및 출현지의 위치정보를 작 , 성했다 현장조사 방법은 본 조사의 목적과 각 분류군의 생태적 특성을 고려하여 실시했는 데 주로 포충망을 이용한 쓸어잡기법 , sweeping , 털어잡기법 채어잡기법 beating , brandishing , 돌 들추기 등의 임의 채집법을 중심으로 했으며 최대한의 종 다양성 확보를 , 위해 목견기록을 포함시켰다 현장에서 쓸어잡기법 으로 조사된 채집물 전체를 sweeping A4크기의 지퍼 백에 일시 보관 후 실험실에서 채집곤충을 해부현미경 sor...

제목 : 생태계에 대한 기후변화 리스크 평가
발행일 : | 조회수 : 9146
카테고리 :
3장 기후변화 리스크 항목 선정 및 평가 193 그림 3.118 RCP4.5 시나리오에 따른 미국선녀벌레의 미래 분포 변화예측

제목 : (2018) 특정도서 정밀조사 : 신안남부권역
발행일 : 2018-01-01 | 조회수 : 20646
카테고리 :
2018 특정도서 정밀조사 신안 1 북부권역 200 ? National Institute of Ecology 사진 212. 남안 중부의 대규모 자갈해안 사진 213. 남안 중부의 자갈해안 배후습지 사진 214. 남안 중부의 중형 타포니 사진 215. 남안 동부의 자갈해안 사진 216. 남안 동부의 자갈해안 배후습지 사진 217. 남동안의 중규모타포니

제목 : (제3차) 습지보호지역 정밀조사(’19). Ⅱ
발행일 : 2019-01-01 | 조회수 : 17426
카테고리 :
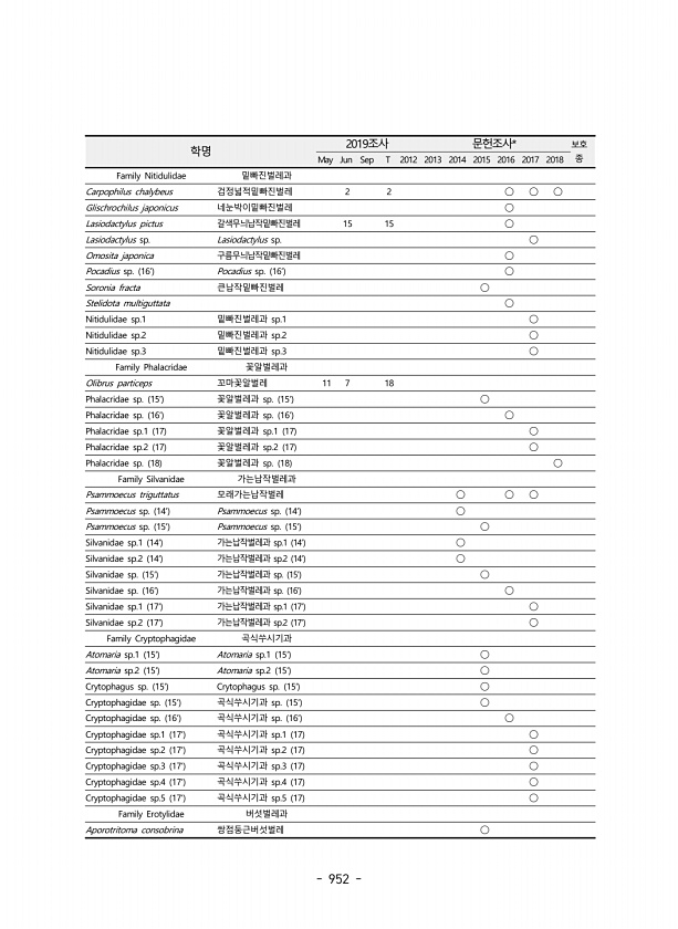
952 학명 2019조사 문헌조사* 보호 May Jun Sep T 2012 2013 2014 2015 2016 2017 2018 종 Family Nitidulidae 밑빠진벌레과 Carpophilus chalybeus 검정넓적밑빠진벌레 2 2 ? ? ? Glischrochilus japonicus 네눈박이밑빠진벌레 ? Lasiodactylus pictus 갈색무늬납작밑빠진벌레 15 15 ? Lasiodactylus sp. Lasiodactylus sp. ? Omosita japonica 구름무늬납작밑빠진벌레 ? Pocadius sp. 16‘ Pocadius sp. 16‘ ? Soronia fracta 큰납작밑빠진벌레 ? Stelidota multiguttata ? Nitidulidae sp.1 밑빠진벌레과 ...