
국립생태원에서 제공하는 수많은 자료를 e-Book으로 볼 수 있습니다.
통합검색

제목 : 지속가능한 국토이용을 위한 생태계서비스 (생태가치) 평가. [2],공급서비스 >
발행일 : 2015-01-01 | 조회수 : 8834
카테고리 :
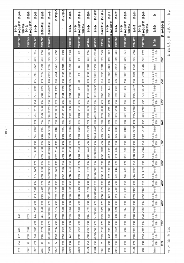
140 물저장능력-댐 2003 2004 2005 2006 2007 2008 2009 2010 2011 2012 댐 댐형식 사업비 평균 저수량 평균 저수율 방류량 저수량 평균 저수율 평균 방류량 저수량 평균 저수율 평균 방류량저수량 평균 저수율 평균 방류량 저수량 평균 저수율 평균 방류량저수량 평균 저수율 평균 방류량저수량 평균 저수율 평균 방류량저수량 평균 저수율 평균 방류량저수량 평균 저수율 평균 방류량저수량 평균 저수율 평균 방류량 남강댐 콘크리트 표면치수벽형 석괴댐 867165.0 102.6 33.2 4154.4 103.4 33.5 2676.6 87.7 28.4 1662.3 82.8 26.8 2571.4 106.5 34.5 3037.7 89.3 28.9 913.5 83.5 27.0 1431.5 142....

제목 : (2017) 생태계서비스 경제사회가치 평가 기법 개발 : 도시녹지 어메니티와 생태체험을 중심으로
발행일 : 2017-01-01 | 조회수 : 11459
카테고리 :
138 구분 사례수 6 텃밭 가꾸기 7 근린공원 산책 8 수목원/생태공원방문 9 교육/체험프로그램 10 미술/예술활동 ■ 전체 ■ 1,266 148 683 214 88 24 1 산악형 국립/도립/군립공원 89 7 41 11 17 3 1 2 산악형 둘레길 152 15 72 5 15 5 2 3 산림욕장/휴양림 42 2 25 15 4 0 4 기타 산 49 1 19 4 0 0 5 해변 안 가 79 5 32 12 9 4 0 6 해안사구 신두리 해안사구 등 6 0 1 0 0 0 7 갯벌 19 0 2 2 0 1 9 도서 섬 20 2 8 2 0 2 10 계곡 24 3 9 4 0 1 11 기타 도서 섬 /계곡 3 0 2 1 0 0 12 내륙습지 우포늪 등 8 0 2 1 0 0 13 연안습지 순천만 등 16 1 4 7 3 0...

제목 : (2016) 전국 무인도서 자연환경조사 : 보령권역
발행일 : 2014-01-01 | 조회수 : 11840
카테고리 :
Ⅱ. 조사결과 www.nie.re.kr ? 145 그림 174. 수달 최근 배설물 약 5일 이내 그림 175. 수달 오래된 배설물 그림 176. 수달 최근 배설물 약 5일 이내 그림 177. 수달 오래된 배설물 그림 178. 분점도의 폐어구 그림 179. 토끼의배설물


제목 : 백두대간보호지역 생태계 조사.묘적재~화방재
발행일 : 2017-01-01 | 조회수 : 17957
카테고리 :
2017 백두대간보호지역 생태계 조사 묘적재 화방재 144 ? National Institute of Ecology 표 36. 선달산의 종목록 학명 국명 개체수 합계 비고 1차 2차 3차 4차 Bonasa bonasia 들꿩 1 1 보 Phasianus colchicus 꿩 2 1 2 5 Accipiter nisus 새매 1 1 멸II, 천 Buteo hemilasius 큰말똥가리 1 1 멸II Streptopelia orientalis 멧비둘기 13 7 11 6 37 Cuculus micropterus 검은등뻐꾸기 1 1 2 보 Cuculus canorus 뻐꾸기 2 2 보 Cuculus saturatus 벙어리뻐꾸기 2 2 보 Otu...