
국립생태원에서 제공하는 수많은 자료를 e-Book으로 볼 수 있습니다.
통합검색

제목 : (2015) 전국 해안사구 정밀조사 : 송정사구
발행일 : 2015-01-01 | 조회수 : 13044
카테고리 :
Ⅱ. 조사결과 www.nie.re.kr ? 133 조사일자 2015년 5월 29일 조사기관 국립생태원 식생조사표 군락명 갯메꽃군락 No. 039 조사지역 송정사구 조사자 민 병 미 해발10 m 식생상관 초본식생 도엽명 1/25,000 , 격자번호 방위0 위경도 GPS 37°47′20.7″N, 128°55′34.1″E 경사0 ° 지 형산정, 능선, 사면 상, 중, 하, 凹, 凸 , 계곡부, 평지, 기타 면적5×5㎡ 낙엽부식층 ≥20cm, 19-15cm, 14-10cm, 9-5cm, 5-0cm 계층구분 높이 m 식피율 % 우점종 갯메꽃 0.05 갯완두 0.05 갯방풍 0.05 통보리사초 0.2 해란초 0.03 교목층 T1 아교목층 T2 관 목 층 S 초 본 층 H 0.05 70 갯메꽃 이 끼 층 M 우점종 DB...

제목 : (2018년) LMO 자연환경 모니터링 및 사후관리 연구. [10]
발행일 : 2018-01-01 | 조회수 : 10672
카테고리 :
125 LMO 유전자-MON89034 LMO 유전자-MIR162 LMO 유전자-3272 * MDNA ladder, ConNon-LM, PosPositivecontrol

제목 : (2018) 생태모방연구
발행일 : 2018-01-01 | 조회수 : 7400
카테고리 :
122 7 어치 날개 빨간색Air space, 노란색Keratin 8 파랑새 날개 빨간색Air space, 노란색Keratin 9 파랑새 등 빨간색Air space, 노란색Keratin


제목 : 국립생태원 국제협력 공동연구
발행일 : 2017-01-01 | 조회수 : 27545
카테고리 :
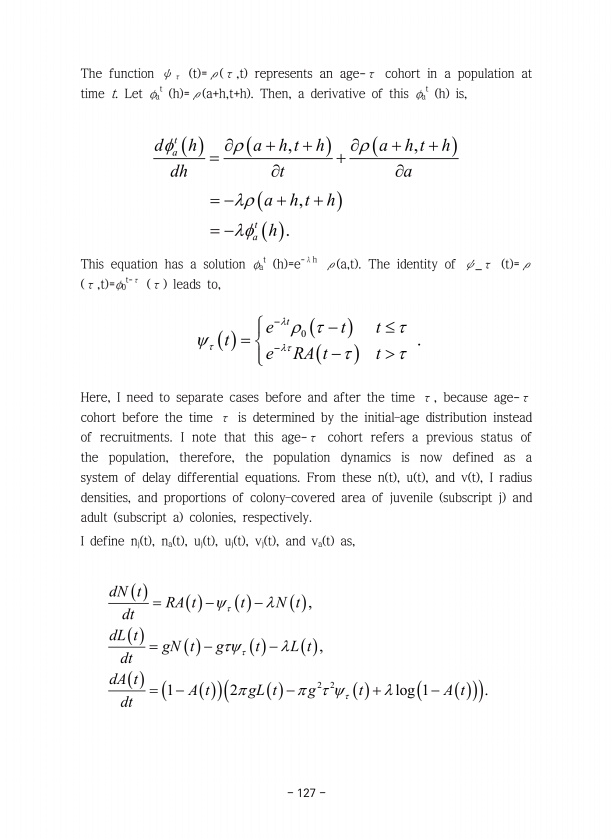
127 The function ψτ t =ρ τ,t represents an age-τ cohort in a population at time t. Let ?at h =ρ a+h,t+h Then, a derivative of this ?at h is, d h a h t h a h t h at , , dh t a f r r ¶ + + ¶ + + = + ¶ ¶ , ta a h t h h lr lf = + + = This equation has a solution ?at h =e-λh ρ a,t The identity of ψ_τ t =ρ τ,t =?0t-τ τ leads to, 0 t e t t t e RA t t l t lt r t t y t t ? ? ? = ? ? ? Here, I need to separ...