
국립생태원에서 제공하는 수많은 자료를 e-Book으로 볼 수 있습니다.
통합검색

제목 : (2016) 외래생물 정밀조사. 3
발행일 : 2014-01-01 | 조회수 : 8154
카테고리 :
119 과명 학명 국명 상대기여도 수도권 강원 충청권 전라권 경상권 제주 전체 콩과 Cercis chinensis Bunge 박태기나무 0.001 0.001 부처꽃과 Lagerstroemia indica L. 배롱나무 0.001 0.001 콩과 Amphicarpaea bracteata subsp. edgeworthii Benth. H.Ohashi 새콩 0.003 0.001 장미과 Rubus hirsutus Thunb. 장딸기 0.004 0.001 측백나무과 Chamaecyparis obtusa Siebold & Zucc. Endl. 편백 0.006 0.001 산형과 Hydrocotyle sibthorpioides Lam. 피막이 0.001 0.001 국화과 Bidens tripartita L. 가막사리 0....

제목 : (2017) 자연환경종합 GIS-DB구축
발행일 : 2017-01-01 | 조회수 : 9225
카테고리 :
127 테이블 설명 포유류 조사 조사자 테이블 컬럼 명 컬럼 ID Type & Length NULL Default value PK FK IDX 조사자료PK SURVEY_ID NUMBER No O O 사용자PK USER_ID NUMBER No O O 기타설명 COMMENTS VARCHAR2 2000 CHAR Yes 조사자 종류 R전문조사자, I일반조사자 TYPE CHAR 1 BYTE Yes 테이블 명 도엽 테이블 Database 명 테이블 ID ECOMAPINFO Tablespace 명 테이블 설명 도엽 테이블 컬럼 명 컬럼 ID Type & Length NULL Default value PK FK IDX 도엽 PK MAP_ID NUMBER No O 도엽이름 NAME VARCHAR2 40 CHAR No 도엽번...


제목 : 국제적 멸종위기종 뿔제비갈매기 번식·생태환경조사
발행일 : 2017-01-01 | 조회수 : 10102
카테고리 :
Ⅳ. 뿔제비갈매기 서식지 발굴 및 서식지 환경조사 www.nie.re.kr ? 127 식생 이산도는 인접해 있는 일산도와 비교해 식피률이 떨어지지만 전체적으로 밀사초군락이 우점하고 있 다. 동쪽의 습한 지역에서 소규모의 갈대군락이 확 인되었다. 밀사초 및 갈대군락 능선부의 나지 조류 이산도의 가장자리는 경사 40도 이상으로 가파른 절벽 형태를 보이다가 정상지역에 다다를수록 경 사도가 점진적으로 낮아지는 형태를 보이는 섬이 다. 2007년 조사에서 5,800개체, 2016년 최대 5,500개체가 확인되어 안정적으로 번식개체군이 유지되고 있는 것으로 보인다. 괭이갈매기의 대부 분 둥지는 섬의 정상지역에서 확인되었고, 가파른 중간 지역에서도 번식하고 있으나, 굴러 떨어진 알이 빈번하게 확인되었다. 서식가능지역 괭...

제목 : 국립생태원 국제협력 공동연구
발행일 : 2017-01-01 | 조회수 : 27519
카테고리 :
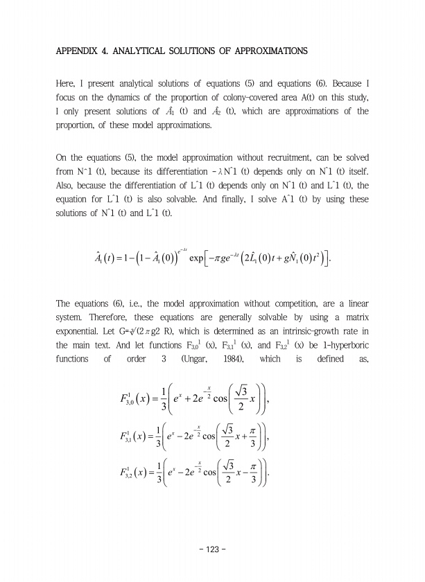
123 APPENDIX 4. ANALYTICAL SOLUTIONS OF APPROXIMATIONS Here, I present analytical solutions of equations 5 and equations 6 Because I focus on the dynamics of the proportion of colony?covered area A t on this study, I only present solutions of ?1 t and ??2 t , which are approximations of the proportion, of these model approximations. On the equations 5 , the model approximation without recruitment,...