
국립생태원에서 제공하는 수많은 자료를 e-Book으로 볼 수 있습니다.
통합검색

제목 : LMO가 국내 곤충상에 미치는 영향 세부평가 항목 및 평가기준 개발 연구(III)
발행일 : 2014-01-01 | 조회수 : 10971
카테고리 :
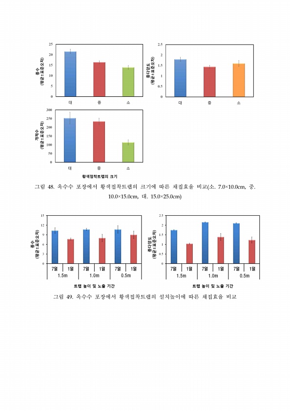
그림 48. 옥수수 포장에서 황색접착트랩의 크기에 따른 채집효율 비교 소. 7.0×10.0cm, 중. 10.0×15.0cm, 대. 15.0×25.0cm 그림 49. 옥수수 포장에서 황색접착트랩의 설치높이에 따른 채집효율비교

제목 : 생태계 훼손지 및 복원지의 진단 평가와 회복력 증진 방안
발행일 : 2017-01-01 | 조회수 : 14093
카테고리 :
? ? ? ? ? ? 73. ? ? ? ? ? ? ? ? ? ? ? ? ? ? ? 74. ?

제목 : (2015) 생태·경관보전지역 정밀조사 : 운문산
발행일 : 2015-01-01 | 조회수 : 18389
카테고리 :
Ⅱ. 조사결과 www.nie.re.kr ? 121 운문산 생태경관보전지역 주요 식생군락 사진 Site No 13. 소나무군락 Site No 14. 졸참나무군락 Site No 15. 졸참나무-굴참나무군락 Site No 16. 졸참나무-서어나무군락 Site No 17. 졸참나무군락 운문산 정상부의 식생 조사지역전경

제목 : (2014) 전국 뉴트리아 서식실태조사
발행일 : 2014-01-01 | 조회수 : 8079
카테고리 :
-106- 나. 북미의 관리사례 현재 미국의 뉴트리아 분포지역은 메릴랜드와 루이지애나, 오리건을 포함하여 33개 주에 서식하고 있다. 메릴랜드는 뉴트리아를 성공적으로 관리하여 서식 근절의 마지막 단계에 접어들었으며, 루이지애나는 지리적· 환경적 조건을 감안하여 박멸이 불가능한 것으로 판단하고 생태계 피해를 최소화 할 수 있는 영구적인 관리를 실행하고 있다. 본 연구에서는 현장 조사 대상 지역인 메릴랜드, 루이지애나, 오리건 중 성공적 모델로 평가되는 메릴랜드와 루이지애나 사례를 토대로 뉴트리아의 효과적인 관리를 위한 방향을 제시하고자 한다. 1 메릴랜드의 뉴트리아 관리 메릴랜드 주는 1943년 도체스터에서 자연으로 최초 방출되었다. 이후 1998년 체사피크만 야생생물보호습지 40㎢에 50,000 개체가 서식...

제목 : (2016) 생태계서비스 평가 기반 구축
발행일 : 2014-01-01 | 조회수 : 10649
카테고리 :
Ⅲ. 지역 생태계서비스 평가 115 a 마량리 화력발전 앞 해식애 b 너뱅이등대 횟집 앞 해식애 c 서울시 서천연수원 앞 해식애 d 당정2리 해식애 e 다사리 선도리 해안사구 f 송림리 죽산리 해안사구 g 너뱅이등대 횟집 전경 h 너뱅이등대 횟집 전경 그림 Ⅲ-1-48 서천군 해식애·해안사구현황