
국립생태원에서 제공하는 수많은 자료를 e-Book으로 볼 수 있습니다.
통합검색

제목 : (2018) 생태계 기후변화 리스크 평가 및 적응대책 연구
발행일 : 2018-01-01 | 조회수 : 9097
카테고리 :
2m ? 52, p = 0.928 pH ? , , , ? 52


제목 : (제4차) 전국내륙습지 정밀조사(’19)
발행일 : 2019-01-01 | 조회수 : 14369
카테고리 :
다음은 갯벌의 가치를 표현한 그림입니다. 이 그림을 보고 알 수 있는 사실을 토의해보고 신문기사를 써봅시다. 자연의 가치를 충분히 이해했습니까? 이렇게 가치가 높은 자연환경을 보전하기 위해 우리가 할 수 있는 일은 무엇 인지 토의 해 봅시다. 연간 경제적 가치 총 16조원 보존가치 20.3 서식지제공기능 재해방지 기능 13.6 여가제공 기능 수질정화기능 6.6 수산물 생산기능 17.5 2.5 2.6 단위면적당 1km 63억원 갯벌? 황금벌! 우리나라 연안 가치 무려 16조 「2012년 12월 기준, 단위억원」 Ⅱ 우리학교 생태계 서비스105

제목 : (2018) 백두대간 생태계 정밀조사 : 응복산 고정조사구
발행일 : 2018-01-01 | 조회수 : 8472
카테고리 :
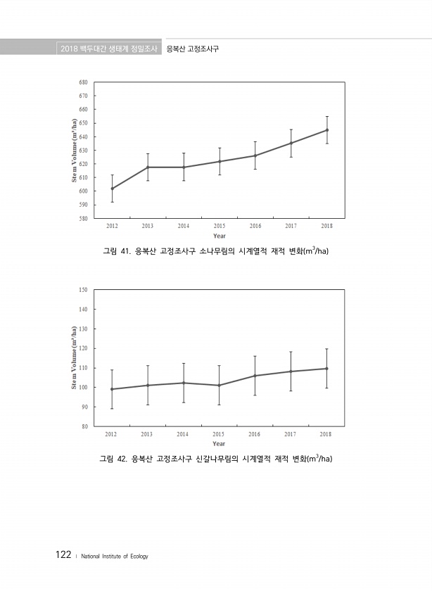
2018 백두대간 생태계 정밀조사 응복산 고정조사구 122 ? National Institute of Ecology 그림 41. 응복산 고정조사구 소나무림의 시계열적 재적 변화 m3/ha 그림 42. 응복산 고정조사구 신갈나무림의 시계열적 재적 변화 m3/ha

제목 : (2018) 광역생태축의 보전 및 복원을 위한 기반 연구
발행일 : 2018-01-01 | 조회수 : 6732
카테고리 :
116 20 경상북도 상주시 화북면 운흥리 산46-1 해 당 생 태 통 로 준공연도 2017 겸용/전용 겸용 근거 국립공원 위치 주소 경상북도 상주시 화북면 운흥리 산46-1 도로명 도로번호 국도 37호선 관리기관 국토교통부 도로 차선 수 왕복 2차선 좌표 WGS 84 위도N 36 35 40.32 경도E 127 47 51.22 조성 기법 신규조성 ■, 수로박스 등 생태통로가 아닌 기존 구조물 개선 □, 펜스만 설치 □, 기타설치 배경 환경영향평가 □, 한반도생태축복원사업 □, 지자체 자체 계획 □, 생태보전반환협력금 □ 유형 및 규격 육교형 ■ 터널형 □, 양서?파충류 통로 □ 길이m, 너비 m 입구면적㎡ 너비 m, 높이 m , 길이m 개방도 입구면적/길이 지침준수여부 통로 규격 육 교 형 조사내용 준수여부...