
국립생태원에서 제공하는 수많은 자료를 e-Book으로 볼 수 있습니다.
통합검색

제목 : 생태계교란생물 모니터링. Ⅰ
발행일 : 2014-01-01 | 조회수 : 8034
카테고리 :
101 가시박 모니터링 지역의 전체 확인 종을 대상으로도 1년생 식물이 가장 높은 비율을 나타내며, 반지중식물, 지중식물 순으로 확인된다 그림 50 모니터링 지점별로 산지임연에서 도로변, 하천 등 다양한 환경을 포함하여 종의 구성은 많은 차이를 나타내기도 하지만 구성종에 있어 생활형에서는 비교적 균일하게 나타나고 있었다. 또한 지중식물 G 과 반지중식물은 H 은 다년생초본이 대부분으로 이들이 비중이 높은 2지역은 자연성이 다른 지 역에 비해 높다고 할 수 있다. 이는 천이단계에서 단경초지에서 장경초지 로 넘어가는 단계에 포함된다고 할 수 있다. 1년생 식물이 Th 의 비율이 상대적으로 높고, 반지중식물 H , 지중식물 G , 지표식물 Ch , 수생식물 HH 이 일부 나타나는 13지역의 경우 자연성이 가장 낮...

제목 : 서울 남산 장기모니터링 지역의 나방 다양성
발행일 : 2017-01-01 | 조회수 : 11163
카테고리 :
126 태극나방과 Erebidae 성충출현시기 6월 Jun 9월 Sep 연 1회 풍부도 많음 Common 날개편길이 5270mm 먹이식물 칡 대표 형질 앞 종보다 조금 작으나 다른 종들보다 뚜렷이 크다. 뒷날개의 노란색 무늬 안쪽 에 ‘V’ 자 모양의 무늬가 있다. 분포 한반도 내륙 Inland of Korean Peninsula , 일본 Japan , 중국 China 인도 India 노랑뒷날개나방 Catocala patala Felder et Rogenhofer 【 월별로 본 개체수 변화 】 Total1 individual May Jun Jul Aug Sep Oct 【 식생별로 조사된 개체수 비율 】 100% 신갈나무림 소나무림아까시나무림

제목 : (2016) 외래생물 정밀조사. 3
발행일 : 2014-01-01 | 조회수 : 8125
카테고리 :
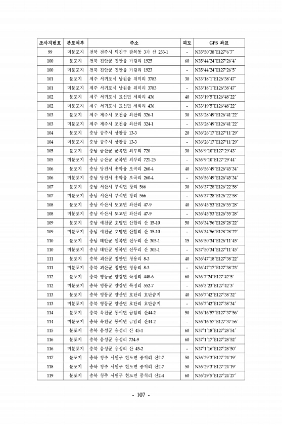
107 조사지번호 분포여부 주소 피도 GPS 좌표 99 미분포지 전북 전주시 덕진구 팔복동 3가 산 253-1 N35°50´38˝E127°6´7˝ 100 분포지 전북 진안군 진안읍 가림리 1925 60 N35°44´24˝E127°26´4˝ 100 미분포지 전북 진안군 진안읍 가림리 1923 N35°44´24˝E127°26´5˝ 101 분포지 제주 서귀포시 남원읍 위미리 3783 30 N33°18´1˝E126°38´47˝ 101 미분포지 제주 서귀포시 남원읍 위미리 3783 N33°18´1˝E126°38´47˝ 102 분포지 제주 서귀포시 표선면 세화리 436 40 N33°19´5˝E126°48´22˝ 102 미분포지 제주 서귀포시 표선면 세화리 436 N33°19´5˝E126°48´22˝ 103 분포지 제주...

제목 : 생태계교란생물 모니터링. Ⅰ
발행일 : 2014-01-01 | 조회수 : 8034
카테고리 :
102 4 특정식물 분포 및 교란 현황 특정식물의 분포는 식물구계학적 특정 식물종을 대상으로 하여 교란 의 정도를 확인하고 자연성이 가장 높은 지역과 교란이 가장 많이 된 것으로 판단되는 지역에 대해 우선 적인 관리를 제안하기 위한 것으로 2지역의 경우 구계학적 특정식물종 10분류군 표 40 이 확인된 지역으로 자연성이 높은 곳이며, 해당지역인근으로 화천천이 있으며, 화천천을 따라 가시박이 연속적인 분포를 보이고 있다. 따라서 해당 지역이 자 연성의 교란을 방지하기 위한 우선 관리대상지역으로 선정할 수 있다. 또한 8, 9, 12, 13, 16지역은 한 종도 확인되지 않고 있어 표 40 가장 많은 교란이 이루어진 곳으로 예상된다. 8지역은 한탄강 수계이고, 9지 역은 경작지 및 조경지가 있고 12지역은 경작...

제목 : (2017) LMO 자연환경 모니터링 및 사후관리 연구. [9]
발행일 : 2017-01-01 | 조회수 : 9374
카테고리 :
113 상세 내용 시료정보 순번 Sample 순번 Sample 95 NIE17-G7-4061 103 NIE17-G7-4069 96 NIE17-G7-4062 104 NIE17-G7-4070 97 NIE17-G7-4063 105 NIE17-G7-4071 98 NIE17-G7-4064 106 NIE17-G7-4072 99 NIE17-G7-4065 107 NIE17-G7-4073 100 NIE17-G7-4066 108 NIE17-G7-4074 101 NIE17-G7-4067 109 NIE17-G7-4075 102 NIE17-G7-4068 1단계. 간이검정 해당사항 없음 해당사항없음