
국립생태원에서 제공하는 수많은 자료를 e-Book으로 볼 수 있습니다.
통합검색

제목 : (2016) 생태·경관보전지역 정밀조사 : 하시동·안인사구
발행일 : 2014-01-01 | 조회수 : 11900
카테고리 :
2016 생태·경관보전지역 정밀조사 하시동 · 안인사구 112 ? National Institute of Ecology 1. 서론 해안사구는 해빈 또는 간석지의 모래가 바람에 의해 해빈 후면으로 이동하여 퇴적된 모래언덕으로 모래의 공급량, 풍향 및 풍속, 주위 지형, 식생 등의 요인에 의해 사구의 형성과 크기가 결정된다 국립생태원, 2014; Kim and Lee, 2012; Choi, 2009 해안사구 지역은 바다와 육지생태계라는 두 생태계의 완충 역할을 수행하고 있으며, 이러한 생태 계 전이지역에는 두 생태계와는 다른 독특한 생물상을 구성하는 고유종들이 서식하는 경우가 많다 전, 2007 특히, 사구에는 염생식물이나 내염성이 강한 사구식물이 발달되 어 있어 육상식생과 구별되는 독특한 사구식생을 형성하고 ...

제목 : 외래생물 전국 서식 실태조사. 2
발행일 : 2014-01-01 | 조회수 : 17012
카테고리 :
104 1-1 조사지점 1-2 조사지점 1-3 조사지점 2-1 조사지점 2-2 조사지점 2-3 조사지점 그림 16. 충청남도의 조사지점전경

제목 : (2016) 외래생물 정밀조사. 3
발행일 : 2014-01-01 | 조회수 : 8125
카테고리 :
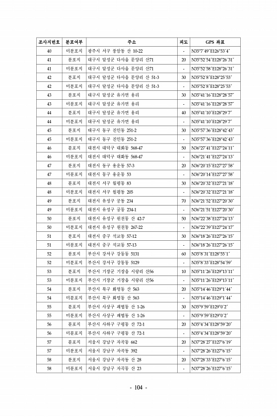
104 조사지번호 분포여부 주소 피도 GPS 좌표 40 미분포지 광주시 서구 풍암동 산 10-22 N35°7´49˝E126°53´4˝ 41 분포지 대구시 달성군 다사읍 문양리 산71 20 N35°52´54˝E128°26´31˝ 41 미분포지 대구시 달성군 다사읍 문양리 산71 N35°52´58˝E128°26´31˝ 42 분포지 대구시 달성군 다사읍 문양리 산 51-3 30 N35°52´8˝E128°25´53˝ 42 미분포지 대구시 달성군 다사읍 문양리 산 51-3 N35°52´8˝E128°25´53˝ 43 분포지 대구시 달성군 유가면 용리 30 N35°41´16˝E128°28´57˝ 43 미분포지 대구시 달성군 유가면 용리 N35°41´16˝E128°28´57˝ 44 분포지 대구시 달성군 유가면 용리 40 ...

제목 : (2014) 전국 뉴트리아 서식실태조사
발행일 : 2014-01-01 | 조회수 : 8074
카테고리 :
-97- 실험 대상 뉴트리아 마취 모니터링 장비 장착 ECG 모니터링 반응촬영 비닐팩 이용방법 실험 청진을 통한 심음 확인 그림 3-28 CO2 사후처리적용

제목 : (수입과 반입에 심사가 필요한) 환경부 지정 위해우려종. 2 >
발행일 : 2015-01-01 | 조회수 : 9583
카테고리 :
124 왕메뚜기콩 Prosopis glandulosa Torr. 과명 콩과 Fabaceae 영명 Honey mesquite 원산지 북아메리카 국외 분포 인도, 파키스탄, 사우디아라비아, 푸에르토리코, 남아프리카공화국, 나미비아, 호주 국내외 지정 현황 IUCN 100대 악성 생태계위해외래생물종 , 일본 요주의외래 생물종 개체. Don A.W. Carlson, CC-BY-2.5, WikimediaCommons