
국립생태원에서 제공하는 수많은 자료를 e-Book으로 볼 수 있습니다.
통합검색

제목 : (수입과 반입에 심사가 필요한) 환경부 지정 위해우려종. 2 >
발행일 : 2015-01-01 | 조회수 : 9583
카테고리 :
122 위해성 뾰족한 가시가 있어 개와 사람의 피부에 상처를 낼 수 있다. 잔디, 목초지, 도로 주변과 교란이 잦은 지역에서 쉽게 발견된다. 우연히 목초지 등에 도입되면 다른 종과 경쟁해 성공적으로 땅을 덮어 버린다. 피해사례 호주의 5개 자연자원관리지역 Natural Resource Management regions 에서 심각한 침입종으로 기록하고 있으며, 전 세계적으로 온대지방 및 열대지역에서 주요한 잡초로 인식되고 있다. 관리방안 줄기 및 뿌리의 일부분만 남아도 확산이 가능하므로 식물의 지하부까지 제거해야 한다. 제거 지역은 작물이나 대체 식물을 식재해야 지속적인 효과를 볼 수 있다. 개화 전에 Dicamba, Amitrole, Picloram 등의 성분이 함유된 제초제를 살포하면 효과적이다. 화피편....

제목 : 지속가능한 국토이용을 위한 생태계서비스 (생태가치) 평가. [4],문화서비스
발행일 : 2015-01-01 | 조회수 : 8080
카테고리 :
104 결론 및 고찰 결론 인류의 문화역사와 함께 그 흐름을 같이 해온 문화서비스 기능은 생태계서 비스의 대 기능 중에서도 그 지표에 대한 평가가 가장 어렵다고 여겨지는 분야 이다 문화서비스의 중요성은 생태계서비스의 태동과 함께 지속적으로 중요하게 인식되고는 있지만 그 정의나 평가 방법이 프레임웍 내에서 충분히 정의되거나 통합되어 있지 않다 우리나라 생태계서비스 연구에서도 생 태계서비스의 각 기능별 지표를 설정하고 국가 평가를 위한 기반을 구축하고 있 다 문화서비스 지표 평가를 위한 연구를 수행하면서 다양한 분야의 통계 자료 를 수집하게 되었고 각 유관기관에 흩어져 있는 문화서비스 관련 자료들을 취 합할 수 있었다는 점에서 이번 연구의 의의를 둘 수 있다 년도 연구보고서 에서 전문가들에 의해 제시된 지표들은...

제목 : (2017) 백두대간보호지역 생태계 조사.화방재~댓재
발행일 : 2017-01-01 | 조회수 : 15867
카테고리 :
Ⅱ. 조사결과 www.nie.re.kr ? 111 학 명 Scientific Name 국 명 Korean Name A B C D 비고 Chrysosplenium pilosum var. valdepilosum Ohwi 금괭이눈 * * * * Chrysosplenium pseudofauriei H. L?v. 선괭이눈 * * Ⅲ Chrysosplenium ramosum Maxim. 가지괭이눈 * Ⅳ Saxifraga fortunei var. incisolobata Engl. & Irmsch. Nakai 바위떡풀 * Saxifraga oblongifolia Nakai 참바위취 * Ⅲ ROSACEAE Juss. 장미과 Agrimonia nipponica Koidz. 좀짚신나물 * * Agrimonia pilosa L...

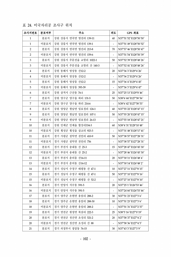
제목 : (2016) 외래생물 정밀조사. 3
발행일 : 2014-01-01 | 조회수 : 8125
카테고리 :
102 조사지번호 분포여부 주소 피도 GPS 좌표 1 분포지 강원 강릉시 연곡면 영진리 139-11 40 N37°51´52˝E128°50´50˝ 1 미분포지 강원 강릉시 연곡면 영진리 139-1 N37°51´49˝E128°50´52˝ 2 분포지 강원 강릉시 연곡면 영진리 213-8 70 N37°57´46˝E128°50´47˝ 2 미분포지 강원 강릉시 연곡면 영진리 159-6 N37°51´54˝E128°50´39˝ 3 분포지 강원 강릉시 주문진읍 교항리 1022-1 50 N37°52´39˝E128°48´26˝ 3 미분포지 강원 강릉시 주문진읍 교항리 산 140-3 N37°52´41˝E128°48´26˝ 4 분포지 강원 동해시 망상동 산12-2 20 N37°36´3˝E129°4´26˝ 4 미분포지 강원 동해시 ...

제목 : 외래생물 정밀조사. 2
발행일 : 2015-01-01 | 조회수 : 8618
카테고리 :
100 그림 57. 영국갯끈풀 주요 면적변화 지역 ‘15.3.16 상 ‘15.10.15 하