
국립생태원에서 제공하는 수많은 자료를 e-Book으로 볼 수 있습니다.
통합검색

제목 : 백두대간 생태계 정밀조사 : 구룡산 고정조사구
발행일 : 2017-01-01 | 조회수 : 12899
카테고리 :
과업일반 www.nie.re.kr ? 3 표 1. 분야별 조사내용 분야 조사내용 육상 식생동태 ○ 영구조사구 설치 소나무림, 신갈나무림 각각 1개소 100m×100m 총 2개소 대상조사구 Belt transect plots 1개소 20m×20m 25개소 20m×20m 내에 소조사구 3개 4m×1m 75개 ○ 식생의 종조성 및 구조적 특성 Z-M학파의 식물사회학적 식생조사법으로 현장조사 식생유형구분, 종조성 및 구성종의 생태적 영향력 분석 탄소순환 ○ 소나무림, 신갈나무림 각각 3plot 20m×20m 총 6plot 교목층 흉고직경, 지하고, 수고 측정 ○ 관목, 초본은 1plot당 3반복 1m×2m 총 18plot 방형구내 모든 관목과 초본 무게측정 ○ 분기별 유기물 낙엽 , 토양 및 pH측정, 토양호흡측정...

제목 : PNIE(Proceedings of National Institute of Ecology) Vol. 2 Issue 1
발행일 : | 조회수 : 1855
카테고리 :
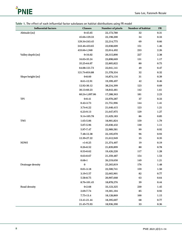
Saro Lee, Fatemeh Rezaie 8 PNIE 2021;2 1 1-14 Table 1. The effect of each influential factor subclasses on habitat distributions using FR model Influential factors Classes Number of pixels Number of habitat FR Altitude m 0-45.65 22,173,780 32 0.31 45.66-129.33 22,198,200 34 0.33 129.34-243.45 22,214,775 69 0.66 243.46-433.65 22,038,609 151 1.46 433.66-1,940 22,014,492 233 2.26 Valley depth m 0-16....

제목 : 외래생물 전국 서식 실태조사. 2
발행일 : 2014-01-01 | 조회수 : 16794
카테고리 :
viii 라. 전라북도 ·········································································································· 79 마. 광역시 및 특별시 ·························································································· 90 4. 고찰 ······················································································································· 95 5. 참고문헌 ·································...

제목 : (2016) 특정도서 정밀조사 : 옹진-남부권역
발행일 : 2014-01-01 | 조회수 : 14210
카테고리 :
2016 전국 특정도서 정밀조사 옹진-남부권역 community, Quercus serrata-Camellia japonica community, Quercus mongolica-Carpinus coreana community, Quercus aliena-Camellia japonica community, Quercus mongolica-Platycarya strobilacea community, Acer mono-Camellia japonica community, Quercus aliena-Platycarya strobilacea community, Rosa multiflora-Smilax china community, Quercus serrata-Carpinus coreana community, Euon...

제목 : 선형사업대상 생태분야 환경영향평가 방법 연구. Ⅰ
발행일 : 2017-01-01 | 조회수 : 9600
카테고리 :
라 고찰 도로사업장의 외래식물 현황 가 조사지 개황 나 현장 조사방법 다 자료 분석 방법 라 결과 마 고찰 매토종자 은행 연구 가 연구 방법 나 결과 다 고찰 금개구리 대체서식지의 정량적 기준 마련을 위한 연구 서론 가 연구배경 나 연구필요성 다 연구 체계 연구내용 및 방법 가 연구지역 나 세부 조사지역 다 연구기간 라 연구방법 연구결과 및 고찰 가 금개구리 행동권 분석 나 안정동위원소 분석 참고문헌 결론 및 제언 사후환경영향조사결과 통보서 정보 입력 외래식물 교란종 유입 확산 연구 금개구리 대체서식지의 정량적 기준 마련을 위한연구