
국립생태원에서 제공하는 수많은 자료를 e-Book으로 볼 수 있습니다.
통합검색

제목 : (제3차) 습지보호지역 정밀조사(’19). Ⅰ
발행일 : 2019-01-01 | 조회수 : 19910
카테고리 :
67 그림 7 습지 내부의 현존식생도 비교 상2014년, 하2019년


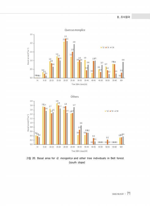
제목 : (2018) 백두대간 생태계 정밀조사 : 응복산 고정조사구
발행일 : 2018-01-01 | 조회수 : 8449
카테고리 :
Ⅱ. 조사결과 www.nie.re.kr ? 71 그림 20. Basal area for Q. mongolica and other tree individuals in Belt forest south slope
