
국립생태원에서 제공하는 수많은 자료를 e-Book으로 볼 수 있습니다.
통합검색

제목 : 지속가능한 국토이용을 위한 생태계서비스 (생태가치) 평가. [4],문화서비스
발행일 : 2015-01-01 | 조회수 : 7977
카테고리 :
56 습지보호지역 지정건수 및 면적 습지보호지역은 습지보전법 제 조 습지보호지역 지정 에 근거하여 자연상 태가 원시성을 유지하고 있거나 생물다양성이 풍부한 지역 희귀하거나 멸종 위기에 처한 야생동 식물이 서식 도래하는 지역 특이한 경관적 지형적 또는 지질학적 가치를 지닌 지역을 환경부장관 또는 시 도지사가 지정하는 보호 지역의 일종이다 법제처 국가법령정보센터 습지보전법 앞서 언급하였듯이 습지는 생물다양성이 풍부하고 서식지를 제공하며 경관적 가치가 높은 곳으 로 인간이 생태계로부터 얻게 되는 경관 쾌적성 영감적 측면의 혜택을 제 공하는 가치가 있다 습지보호지역은 내륙습지 환경부 연안습지 해양수산 부 지자체 지정 습지로 구분이 된다 년 월 현재 환경부 지정 습지는 개소 해양수산부 지정 습지는 개소 지자체 지정 ...

제목 : 국가 생태계서비스 평가 : 국가 생태계서비스 평가 지표선정 및 평가적용
발행일 : 2014-01-01 | 조회수 : 16378
카테고리 :
국가 생태계서비스 평가 지표선정 및 평가적용 46 그림 Ⅲ 24. 시도별 일반해면어업 생산량 변화지도

제목 : 국가 생태계서비스 평가 : 국가 생태계서비스 평가 보고서 발간을 위한 기초 연구
발행일 : 2014-01-01 | 조회수 : 7489
카테고리 :
국가 생태계서비스 평가 보고서 발간을 위한 기초 연구 54 논문수가 많이 증가했음을 추측할 수 있다. 이 가운데 4번 등장한 6,504명의 저자 들을 제외한, 273명으로 네트워크 분석을 시도하였다. 5번 이상 등장하는 키워드 로 cut-off를 정하기 위해 SPSS에서 빈도를 도출하였다 표 Ⅱ 23 빈도 퍼센트 올바른 퍼센트 누적 퍼센트 1.00 5369 79.2 79.7 79.7 2.00 719 10.6 10.7 90.4 3.00 230 3.4 3.4 93.8 4.00 112 1.7 1.7 95.5 5.00 67 1.0 1.0 96.5 6.00 50 .7 .7 97.2 7.00 33 .5 .5 97.7 … 1634.00 1 .0 .0 100.0 총계 6777 100.0 표 Ⅱ 23. 국외 문헌 공저자 시...

제목 : (수입과 반입에 심사가 필요한) 환경부 지정 위해우려종. 2 >
발행일 : 2015-01-01 | 조회수 : 9465
카테고리 :
74 아스파라거스밀나물 Asparagus asparagoides L. Druce 과명 백합과 Liliaceae 영명 African asparagus fern, Bridal creeper, Bridal-veil creeper, Gnarboola, Smilax, Smilax asparagus 원산지 동부와 남부 아프리카 국외 분포 열대 아프리카, 호주, 뉴질랜드, 유럽 남부, 미국 서부 국내외 지정 현황 미국 생태계위해외래생물종 , 뉴질랜드 제거대상종 잎과 줄기. Forest and Kim Starr, Starr Environmental, CC-By-3.0, WikimediaCommons

제목 : (2015) 기후변화에 의한 생물 적응 현상 연구. [1]
발행일 : 2015-01-01 | 조회수 : 6701
카테고리 :
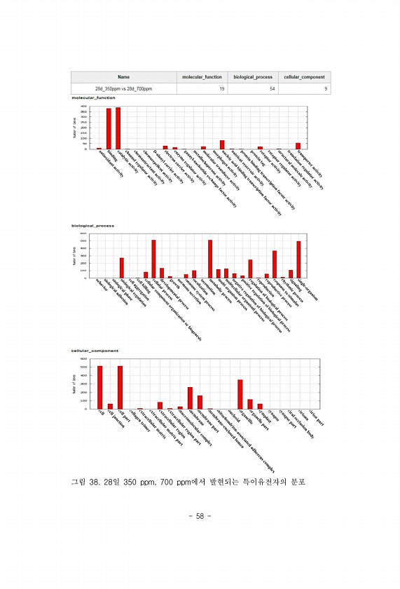
58 그림 38. 28일 350 ppm, 700 ppm에서 발현되는 특이유전자의분포