
국립생태원에서 제공하는 수많은 자료를 e-Book으로 볼 수 있습니다.
통합검색

제목 : 백두대간보호지역 생태계 조사.묘적재~화방재
발행일 : 2017-01-01 | 조회수 : 17663
카테고리 :
Ⅱ. 조사결과 www.nie.re.kr ? 63 본 조사는 다양한 분류군 중에서 식생을 대상으로 진행하였다. 식생조사는 서식처 환경 특성 및 구성 식물종의 다양성과 분포적 특성을 조사하고, 조사지역 내 현존식생도 작성 및 훼손지 현황을 조사하는데 있다. 또한, 조사결과를 바탕으로 한반도 산림생태계의 중심축에 대한 자연환경 보전 및 복원의 기초 자료로 활용하는데 목적이 있다. 2. 조사 지역 및 방법 가. 조사지역 묘적재화방재 구간은 3개의 소구간으로 구분되며, 해당 소구간을 대표하는 5개의 봉우리를 중심으로 실시하였다. 1 조사지점 그림 17. 백두대간보호지역 묘적재화방재 구간 식생조사지역

제목 : 생태안전 위협요소 평가 및 적응방안 연구.
발행일 : 2017-01-01 | 조회수 : 5731
카테고리 :
64 2 구상나무 이차대사물질과 기온 다음으로 비생물학적 환경요인중 AWS 기온 데이터와 이차대사물질 발현량 변화와의 상관관계를 분석하였다. 에틸아세테이트 추출물에서 확인된 이차대 사물질과 기온과의 분석에서는 protocatechuic acid PA , 4-Hydroxybenzoic acid 4HA , Taxifolin TA , Resveratrol RE 이 유의한 상관관계를 보였으며, 메탄올 추출물에서는 ρ-coumaric acid PCA , TA가 기온과의 유의한 상관관 계를 나타냈다 그림 25-26 에틸아세테이트와 메탄올 두 종류의 추출용매에서 공통적으로 이차대사물질의 발현량과 기온과의 상관관계를 보인 물질은 TA 로 대상 물질이 샘플링한 시기보다 두 달 전의 기온조건과 높은 상관관계를 보였다. 그림 ...

제목 : (2017) 생태계서비스 평가모형 개발
발행일 : 2017-01-01 | 조회수 : 6677
카테고리 :
62 하게 고려하였다. 또한 국가 및 광역지자체, 지자체 단위의 정책, 계획 보고서 들을 검토하여 안산시에 적용 가능한 변수들을 이용, 지자체 단위에서 적용 가능한 시나리오를 작성하였다. 작성된 시나리오를 바탕으로 추정한 토지이용 변화 DB와 기후변화 시나리오를 적용하여 토지이용에 의한 생태계서비스의 변화, 기후변화에 의한 변화, 두 시나리오가 동시에 작용하였을 때의 생태계서 비스의 변화를 각각 모의하였다. 육상 생태계서비스는 탄소 격리, 농업 생산 량, 녹지서비스, 종다양성을 평가하였으며, 해안 생태계서비스로는 어획생산량, 레크리에이션, 종다양성을 평가하였다. 다만 기존 많은 연구에서는 국가단위로 분석을 실시하였기 때문에, 지자체 단위의 DB 구축 및 특성 반영에는 한계가 있었다. 생태계서비스 평가지표 선...

제목 : (2018) 자연생태계 내 유전자변형생물체 선별기술 개발
발행일 : 2018-01-01 | 조회수 : 3788
카테고리 :
56 그림 34. COT102 면화 이벤트의 특이 유전자 증폭 검증. A 기 개발된COT102 이벤트 특이 검출법 국립생태원, 2017b B , C 신규 제작한 프라이머 조합. A Lane 1COT102 F + COT102 R 800 bp , lane 2COT102 F3 + COT102 R 329 bp , lane 3COT102 F + COT102 R1 114 bp , lane 4COT102 F + COT102 R2 171 bp ; B Lane 1COT102R-P1 + COT102R-V1 701 bp , lane2

제목 : (2018) 생태계의 주요 조절 기능에 대한 기후변화 영향 연구
발행일 : 2018-01-01 | 조회수 : 4146
카테고리 :
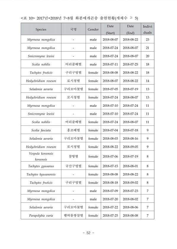
Species Gender Date Start Date End Indivi duals Myrmosa mongolica male 2018-08-07 2018-08-22 23 Myrmosa mongolica male 2018-07-24 2018-08-07 21 Smicromyme lewisi male 2018-07-24 2018-08-07 20 Scolia nobilis male 2018-07-11 2018-07-25 18 Tachytes fruticis female 2018-08-08 2018-08-22 18 Hedychridium roseum female 2018-08-07 2018-08-22 14 Seladonia aeraria ? female 2018-07-05 2018-07-19 13 Hedychrid...