
국립생태원에서 제공하는 수많은 자료를 e-Book으로 볼 수 있습니다.
통합검색

제목 : (2016) 생태안전 위협요소 평가 및 적응방안 연구
발행일 : 2014-01-01 | 조회수 : 4585
카테고리 :
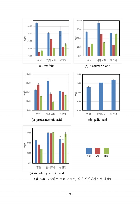
61 a taxifolin b ρ-coumaric acid c protocatechuic acid d gallic acid 4월 7월 10월 e 4-hydroxybenzoic acid 그림 3-28. 구상나무 잎의 지역별, 월별 이차대사물질발현량

제목 : 자연환경조사 30년 1986 ~ 2015
발행일 : 2014-01-01 | 조회수 : 14646
카테고리 :
? 인제 대암산 용늪 생태계조사 사진제공 서정수 ? 어류 조사 사진제공 서정수 ? 식물상 조사 사진제공 서정수 ? 양서류 조사 사진제공 서정수 ? 방태산 합동조사 사진제공 서정수 ? 육상곤충 조사 사진제공 서정수 105cells, 섬유소분해세균의 개체수는 4.3×104∼8.6×105cells이었다. 일반균류의 총 개체수는 1.9×103 ∼1.2×105cells, 섬유소분해균류의 개체수는 3×102∼5.1×104cells이었다. 수용성당함량은 답곡 해발 750m 에서 0.124㎎/g, 내회 해발 900m 에서 0.589㎎/g이었다. 자연환경조사 30년 073 제1장. 전국자연환경조사 NATIONAL INSTITUTE OFECOLOGY

제목 : (2016년도) DMZ 생태포럼 운영 : [최종보고서(2016.11)]
발행일 : 2014-01-01 | 조회수 : 11017
카테고리 :
53 제 3 장 DMZ 일원의 생태적 지속가능성 평가 체계 장단점 분석을 통해 국내 도시의 특성에 부합하는 지표 도출. ○ ESCI는 ‘생물다양성’, ‘생활환경’, ‘생태계 서비스’, ‘행정 및 관리’ 4개의 영역과 20개의 지표로 구성. ○ 지표의 수가 달라 특정 영역으로 점수가 치우쳐 총점에 영향을 줄 수 있으므로 각 영역별 25점 만점으로 환산점수를 산출하는 방식을 적용. 영역 지표 계산식 평가기준 가중치 생물 다양성 4개 /25점 보호지역 비율 [비율평가CBI] 보호지역 면적 ÷ 도시 전체면적 × 100 1점A 3 2점3 ?A 7 3점7 ?A 11 4점11 ?A 17 5점17 ?A ×1.250 도시 내 자연지역 비율 [비율평가CBI] 자연지역 면적 ÷ 도시 전체면적 × 100 1점A 10 2점10 ?...

제목 : 생태계교란생물 모니터링. 4
발행일 : 2017-01-01 | 조회수 : 7393
카테고리 :
49 학명 국명 1차 조사 2차 조사 총합 상대풍 부도 % 생물량 g 생물량 % Class Osteichthyes 조기어 강 Order Cypriniformes 잉어목 Family Cyprinidae 잉어과 Carassius cuvieri 떡붕어 1 1 2 0.5 701.2 6.7 Cyprinus carpio 잉어 1 1 0.2 1450 13.8 Carassius auratus 붕어 1 1 2 0.5 373.9 3.6 Acheilognathus yamatsutae 줄납자루 1 1 0.2 2.1 0.0 Hemibarbus labeo 누치 28 6 34 8.5 1699.2 16.2 Hemibarbus longirostris 참마자 10 10 20 5.0 370.9 3.5 Pseudogobio esocinus 모...

제목 : 생태계 보전기술 개발 및 기반 구축
발행일 : 2014-01-01 | 조회수 : 15888
카테고리 :
그림 29. 대전광역시 일대 대조지 NDVI 등급화 지도 그림 30. 대전광역시 일대 훼손지 NDVI 등급화 지도 53