
국립생태원에서 제공하는 수많은 자료를 e-Book으로 볼 수 있습니다.
통합검색

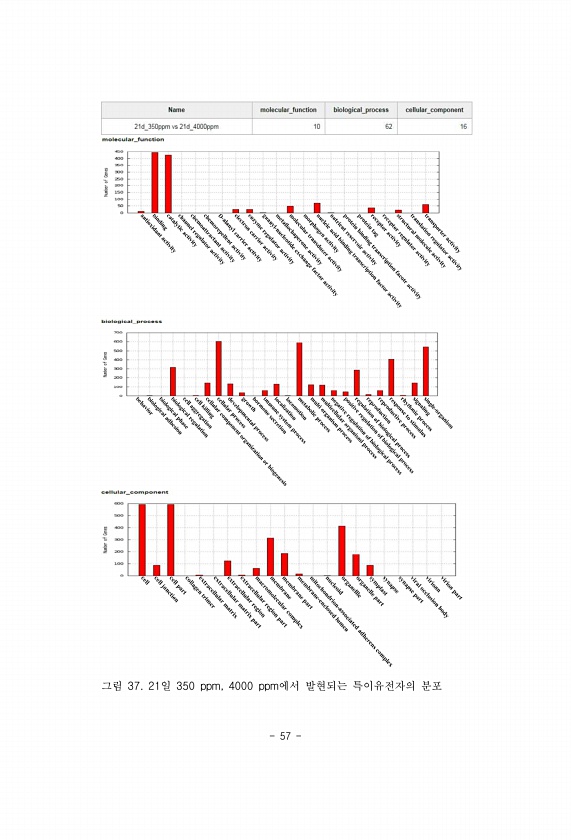
제목 : (2015) 기후변화에 의한 생물 적응 현상 연구. [1]
발행일 : 2015-01-01 | 조회수 : 6791
카테고리 :
57 그림 37. 21일 350 ppm, 4000 ppm에서 발현되는 특이유전자의분포

제목 : 외래생물 전국 서식 실태조사. 1
발행일 : 2015-01-01 | 조회수 : 15321
카테고리 :
47 2 분포 현황 1100도로변, 어승생악 주변에서 발견되었으며, 산남지역에서는 인공으로 조림된 잣나무림과 소나무림에서도 발견된 바 있다 제주지역환경지원센터, 2005; 그림 3-9 가 주요 서식처 특성 상록침엽수림에서 주로 발견되며, 종자, 과실 등이 많은 지역에서 주로 관찰된다 윤명희 등, 2004; 그림 3-8 본 조사를 통해서는 어승생악 주변 에서 나무위에서 채식 중인 개체가 관찰되었는데 극도로 경계하여 작은 소리에도 민감하게 반응하였다. 천적으로는 야생화 된 개나 제주족제비 정도이나 야생화 된 개는 천적으로서의 역할은 하지 않는 것으로 보고된 바 있어 앞으로 개체군 밀도는 높아질 가능성이 있어 지속적인 모니터링 이 필요할 것이라 판단된다. 조사지 전경1 조사지 전경2 조사지 전경3 조사지 전경4 ...

제목 : (2014) 국내 생태정보데이터베이스 유형분석을 통한 목표시스템 설계
발행일 : 2014-01-01 | 조회수 : 4173
카테고리 :
는 말소에 대한 내역을 기록 하고, 그 기록을 최소 5년간 보관한다. ④ 정보통신서비스 제공자등은 개인정보취급자가 정보통신망을 통해 외부 에서 개인정보처리시스템에 접속이 필요한 경우에는 공인인증서 등 안전한 인증 수단을 적용하여야 한다. ⑤ 정보통신서비스 제공자등은 정보통신망을 통한 불법적인 접근 및 침해 사고 방지를 위해 다음 각 호 의 기능을 포함한 시스템을 설치_운영하여야 한다. 1. 개인정보처리시스템에 대한 접속 권한을 IP주소 등으로 제한하여 인가 받지 않은 접근을 제한 2. 개인정보처리시스템에 접속한 IP주소 등을 재분석하여 불법적인 개인정 보 유출 시도를 탐지 ⑥ 정보통신서비스 제공자등은 이용자가 안전한 비밀번호를 이용할 수 있 도록 비밀번호 작성규칙을 수립하고, 이행한다. ⑦ 정보통신서비스 제...

제목 : 지속가능한 국토이용을 위한 생태계서비스 (생태가치) 평가. [2],공급서비스 >
발행일 : 2015-01-01 | 조회수 : 8812
카테고리 :
58 돼지고기 생산은 2003년 78만3천 톤/년이었으나 2006년에는 77만7천 톤/년 까지 감소하였으며, 이후 소폭 상승했지만, 2011년 57만4천 톤/년으로 급격히 감소하였다 그림 3-17 20102012년 통계청 4/4분기 가축동향조사결과 보도 자료에 따르면 구제역 발생으로 인한 매몰처분과 가격하락으로 사육마리수가 감소하였으나 2011년 이후부터 산지가격이 높게 형성되어 생산마리수가 점차 증가하였다. 이에 따라, 2012년에는 75만 톤/년까지 생산마리수가 다시 증가 하였다. 그림 3-17 돼지고기 생산량 변화 닭고기 생산량은 2003년 28만7천 톤/년에서 2012년 46만4천 톤/년으로 1.5배 이상 증가하였다 그림 3-18 이는 국민소득 증가에 따른 닭고기 소비량의 증가25 , 생산성 향상에 ...

제목 : 기후 변화로 인한 생태계의 현재와 미래(기후변화와 생태)
발행일 : 2014-01-01 | 조회수 : 9180
카테고리 :
72 국가장기생태연구 참고문헌 공우석. 2007. 우리식물의 지리와 생태. 지오북. 108 pp. 권원태. 2004. 기후변화의 과학적 현황과 전망. 환경부 ?기상청-한국기상학회 공동주관 제2차 기후변화학술대회 초록집. 1-4. 기상청. 2004. Annual Climatological Report. Korea Metrological Administration. Seoul in Korean 신준환, 임종환. 1995. 기후변화가 산림생태계에 미치는 영향과 대응 방안. 자연보존학회. 90, 12-21. 윤진일. 2006. 기후변화에 따른 벚꽃 개화일의 시공간 변이. 한국 농림기상학회지. 8 2 68-76. 이승호, 이경미. 2003. 기온변화에 따른 벚꽃 개화시기의 변화 경향. 환경영향평가. 12 1 45-5...