
국립생태원에서 제공하는 수많은 자료를 e-Book으로 볼 수 있습니다.
통합검색

제목 : LMO 자연환경 모니터링 및 사후관리 연구(VI)
발행일 : 2014-01-01 | 조회수 : 6077
카테고리 :
61 Fig. 19. 옥수수 Screening test Kit 2 lane M 100bp DNA ladder lane P Positive control lane N Non-template control lane 1 평택시 어연리 lane 2 평택시 신영리 lane 3 김제시 소토리 lane 4 홍성군 장양리 lane 5 평택시권관리

제목 : 제주도의 외래생물
발행일 : 2015-01-01 | 조회수 : 8469
카테고리 :
071 표선 모슬포 강정 서귀포 무릉 저지 회수 한라산 위미 고산 한림 귀일 오라 와산 신양 도두 제주 함덕 김녕 우도 송당 0 105 Km 붉은배거북 Pseudemys concinna concinna ⓒT.Voekler

제목 : (2015) 기후변화에 의한 생물 적응 현상 연구. [1]
발행일 : 2015-01-01 | 조회수 : 6791
카테고리 :
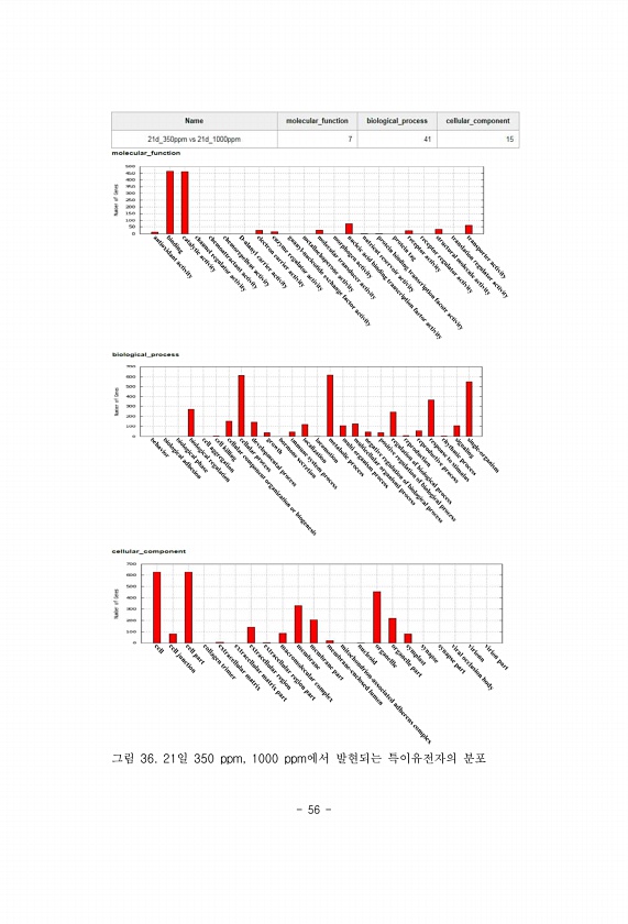
56 그림 36. 21일 350 ppm, 1000 ppm에서 발현되는 특이유전자의분포

제목 : (2015) 전국 무인도서 자연환경조사 : 태안 권역
발행일 : 2015-01-01 | 조회수 : 12259
카테고리 :
2015 전국 무인도서 자연환경조사 태안 권역 62 ? National Institute of Ecology 나. 자연환경 1 지형?경관 가 개요 알섬 난도 는 태안군 근흥면 가의도리에 속한 도서로서 근흥면 신진도항에서 서쪽으로 약 28km 지점에 위치한다. 서쪽으로는 멀리 10km 지점에 석도와 우배도가 있고 북서쪽 약 7km 지점에 병풍도가 있으며, 동쪽으로는 약 3km 거리에 궁시도가 위치한다. 천연기념물 제334호 태안난도 괭이갈매기 번식지로 지정되어 있다. 섬의 형태는 동서 방향의 장축을 가진 타원체에서 중앙부가 남쪽으로 돌출된 모습을 띠고 있는데, 장축의 길이는 약 400m이고, 단축은 100150m 정도이다. 섬의 최고봉은 80m 정도로 중앙부에 위치한다. 나 주요지형 알섬 난도 가 위치한 해상...

제목 : 지속가능한 국토이용을 위한 생태계서비스 (생태가치) 평가. [3],조절서비스 >
발행일 : 2015-01-01 | 조회수 : 11249
카테고리 :
생물학적환경조절 가 외래종 침입 조절 생물학적 환경조절의 한 부분으로 생태계 위해종 중 침입외래종 을 대상으로 생태계가 침입외래종의 유입 및 정착을 일정 수준 이하로 유지하는 능력 생태계의 침입취약도 을 이론적으로 이해하고 그와 관련된 메카니즘을 이해함과 동시에 그에 관여하는 요인들 중 잠재적으로 생태계의 조절 능력을 정량화하여 평가 가능한 지표들을 찾아내 어 이용가능성을 종합적으로 검토하고자 하였다 침입외래종이 될 수 있게 하 는 요인들 종들이 가지고 있는 특정 형질 이거나 유입생태계의 환경적 요소일 수도 있음 에 관한 고려는 다루지 않았으며 생태계의 침입외래종에 대 한 저항성을 정의하기 위한 모델링 개발도 다루지 않았다 어떤 외래종도 잠 정적으로 침입외래종이 될 수 있으므로 이용 가능한 자료들을 최대한으...