
국립생태원에서 제공하는 수많은 자료를 e-Book으로 볼 수 있습니다.
통합검색

제목 : (2017) 백두대간보호지역 생태계 조사.화방재~댓재
발행일 : 2017-01-01 | 조회수 : 15867
카테고리 :
60 조사일자 도엽명 격자번호 연번 지형경관명 기호 등급 규모 가로x세로 좌표 도엽명 N E 도엽번호 구간 17/10/14 함백 E2 03 암괴원 GM19 Ⅳ 40mx60m 37°12’47.24″ 128°55′05.87″ 함백 378162 화방재댓재 화방재피재 17/10/14 함백 E2 04 기타 훼손지역 37°13′15.16″ 128°56′24.94″ 함백 378162 화방재댓재 화방재피재 17/10/14 함백 E2 05 기타 안부 37°13′16.41″ 128°56′31.63“ 함백 378162 화방재댓재 화방재피재 17/10/14 함백 E2 06 기타 훼손지역 37°13′17.16″ 128°56′56.24″ 함백 378162 화방재댓재 화방재피재 17/10/14 함백 E2 07 기타 산정 37°13′1...

제목 : (2017) 전국단위 생태계서비스 평가 체계 수립을 위한 연구. vol. 3
발행일 : 2017-01-01 | 조회수 : 15135
카테고리 :
709 부단 관련 대체행동 의도 내장산 국립공원을 1년 동안 방문하지 않겠다. 내장산 국립공원 근처의 다른 국립공원을 방문하겠다. 다른 지역의 국립공원을 방문하겠다. 내장산 국립공원을 계속 방문하겠다. 추가비용 부담 관련 태도 사찰림 보존을 위한 소득세 78 가 왜 필요한지 충분히 이해가 간다. 전반적으로 나는 사찰림 보존을 위한 소득세 를 찬성한다. 소득세 는 나의 국립공원 이용을 제한할 것이다. 나는 이미 세금을 충분히 내고 있기 때문에 추가금액을 낼 이유가 없다. 소득세 는 국립공원을 경험하러 오는 사람들의 방문을 제한할 수 있기 때문에 실 행이 부적절하다. 추가비용 부담 관련 주관적 규범 나와 밀접한 관계가 있는 대부분의 사람들은 사찰림 보존을 위해 내가 소득세 를 내야 한다고 생각한다. 나와 밀접한...


제목 : (2018) 생태계의 주요 조절 기능에 대한 기후변화 영향 연구
발행일 : 2018-01-01 | 조회수 : 4183
카테고리 :
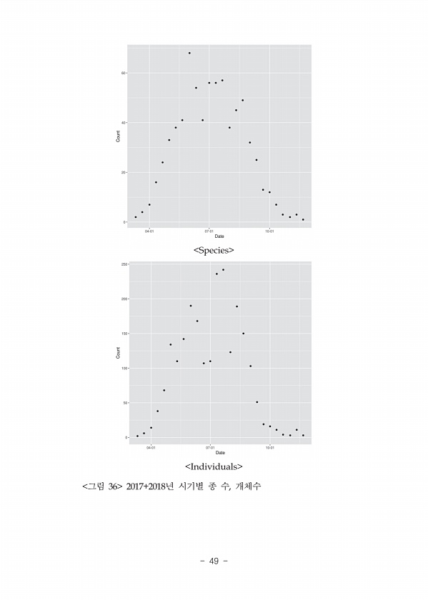
Species Individuals ? 36 2017+2018 ? ,

제목 : DMZ 일원 생태계 조사 : 민통선이북지역 서부평야권역
발행일 : 2017-01-01 | 조회수 : 17075
카테고리 :
2017 DMZ 일원 생태계 조사 민통선이북지역 서부평야권역 60 ? National Institute of Ecology 5. 보전가치 및 관리방안 가. 보전 2017년도 민통선이북지역 서부평야권역 조사는 경기도 연천군과 강원도 철원군 일대에서 수행되었다. 연천군에 포함되는 빙애코스와 사동 코스, 덕현골 코스, 덕산리 코스 서부권의 경우 대부분 선캄브리아기에 형성된 지질을 기반으로 하고 있어, 풍화가 상당히 진행된 상태로 주로 하천지형이 관찰되었다. 반면 철원군에 해당하는 덕산리 코스 동부권과 산명호 코스, 동송저수지 코스, 토교저수지 코스, 이길리 코스의 경우 신생대에 오리산에서 발생한 화산활동에 의해 대부분의 평지가 현무암으로 피복된 상태로, 주로 화산지형과 용암대지를 가로지르는 하천에 의해 형성된 하...