
국립생태원에서 제공하는 수많은 자료를 e-Book으로 볼 수 있습니다.
통합검색

제목 : 국립생태원으로 인한 지역경제 파급효과 분석 : 최종보고서
발행일 : 2014-01-01 | 조회수 : 1106
카테고리 :
Ⅴ. 상생발전을 위한 정책적 제언 61 ¡ 지역축제나 관광지 연계 관람료 할인 등 ▷ 서천군 관광안내도 혹은 서천군 읍면 지도에 관광지 이미지로 표시 ▷ 지역축제 소개 n 생태관광 루트의 개발 ¡ 국립생태원에서의 전문적인 생태전시와 서천군 내 생태관광지를 연계하는 생태관 광 코스의 개발 및 운영이 필요함 [표 5-3] 국립생태원과 서천군 간 연계방안으로 가장 중요한 사항 연계강화를 위한 사항 빈도 명 비중 % 서천군 축제를 활용한 국립생태원 관람객의 서천군 관광 수요 창출 40 24.5 국립생태원을 포함하는 생태관광 코스의 개발 및 운영 63 38.7 국립생태원 내 서천군 관광지 홍보시설 설치 34 20.9 국립생태원 주관 서천군 생태체험 프로그램 개발 및 운영 26 16.0 합계 163 100.0 자료 국...

제목 : (2015) 기후변화에 의한 생물 적응 현상 연구. [1]
발행일 : 2015-01-01 | 조회수 : 6816
카테고리 :
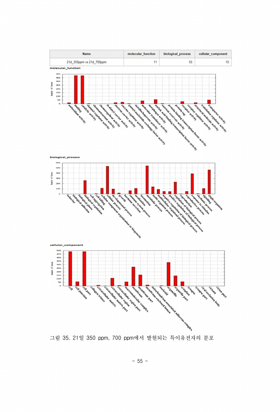
55 그림 35. 21일 350 ppm, 700 ppm에서 발현되는 특이유전자의분포

제목 : 육상생태계에서 이루어지는 생태연구 : 환경이 변하면 숲은 어떻게 반응할까?
발행일 : 2014-01-01 | 조회수 : 9872
카테고리 :
70 국가장기생태연구 ● 까치 Pica pica 최근에 매나 참매 등이 감소함에 따라 까치의 개체수가 급증하여 농작물에 대한 피해 및 소형조류의 포식 등 생태계에서의 문제점이 지적되고 있는 종이다. 따라서 이 지역에서 까치의 장기모니터링을 통해 월악산 인근의 생태계와의 연관성을 알아보기에 적합한 종 으로 생각된다. ● 꾀꼬리 Oriolus chinensis 꾀꼬리는 우리나라의 야산에서 흔히 번식하였던 대표적 여름 철새이었으나 까치나 어치 등 경쟁종의 영향으로 최근에 그 개체수가 줄어들고 있는 종이다. 따라서 본 지역에서 산 숲식생의 변화에 따라 모니터링하기에 적합한 종으로 생각된다. 국명 학명 동계 춘계 하계 추계 합계 우점도 비고 두견이목 Cuculiformes 두견이과 Cuculidae 뻐꾸기 Cucul...

제목 : 우리가 주목해야 할 외래생물(Ⅰ)
발행일 : 2014-01-01 | 조회수 : 6197
카테고리 :
포유류 양서류 · 파충류 담수어류 곤충류 연체동물 외래식물 Imformation on Alien Species in Korea 71 생태적 특징 연 2회 발생하며 성충으로 월동한다. 약충은 79월 초순경까지 출현하며, 성충은 710월 에 발생과 활동이 왕성하다. 성충과 약충이 잎 뒷면에서 모여 생활한다. 유입경로 비의도적 유입 피해 증상 성충과 약충이 먹이식물의 아랫부분부터 동 시에 흡즙하면, 잎 표면은 점 모양의 황갈색 으로 변한다. 잎 뒷면에 끈적거리는 배설물 을 남겨 잎의 기공을 막고 잎 조직을 부식시 킨다. 먹이식물 미국쑥부쟁이, 뚱딴지, 쑥, 망초, 해바라기, 양미역취, 양버즘나무, 호박, 고구마 등 32종 ▲ 산란 및 알 ▲ 약충과 성충 ▲ 짝짓기 ▲ 삼잎국화 ▲ 망초 ▲뚱딴지

제목 : 기후변화에 의한 아고산 생태계 적응 연구
발행일 : 2015-01-01 | 조회수 : 4621
카테고리 :
57 부록 지리산 돼지령 구상나무림 관목층상대중요치