
국립생태원에서 제공하는 수많은 자료를 e-Book으로 볼 수 있습니다.
통합검색


제목 : 지속가능한 국토이용을 위한 생태계서비스 (생태가치) 평가. [3],조절서비스 >
발행일 : 2015-01-01 | 조회수 : 11260
카테고리 :
즉 산림으로 내린 강수는 경사지를 통과하면서 토층이나 식물 층의 유기물 또는 무기물을 용탈시켜 이동시키고 소위 말하는 오탁수가 된다 하지만 유하 과정에서 식생에 의한 여과 흡착 침전 작용 및 생물학적 흡수작용으로 또는 침투과정에서 여과 및 흡착 이온교환작용 등을 통하여 재정화되는 과정을 거치기도 한다 또한 유출에 포함되는 일부 물질은 인위적인 대기오염물질이 건조기에 비산되다가 지표층위에 침착하여 오염물질로 작용하기도 한다 따라서 강우 시 유출되는 물에는 토양 중에 인위적으로 오염된 물질을 세탈하는 작용 까지 포함해야 한다 즉 전체적인 물의 각 생태계 유형 내 유출과정에서 일어 나는 자정작용 수식은 다음과 같다 수식 수질정화서비스량 오염물질유입량오염물질유출량 수식 여기서 최초 오염물질 유입량은 강우에 포...

제목 : (2015) 기후변화에 의한 생물 적응 현상 연구. [1]
발행일 : 2015-01-01 | 조회수 : 6819
카테고리 :
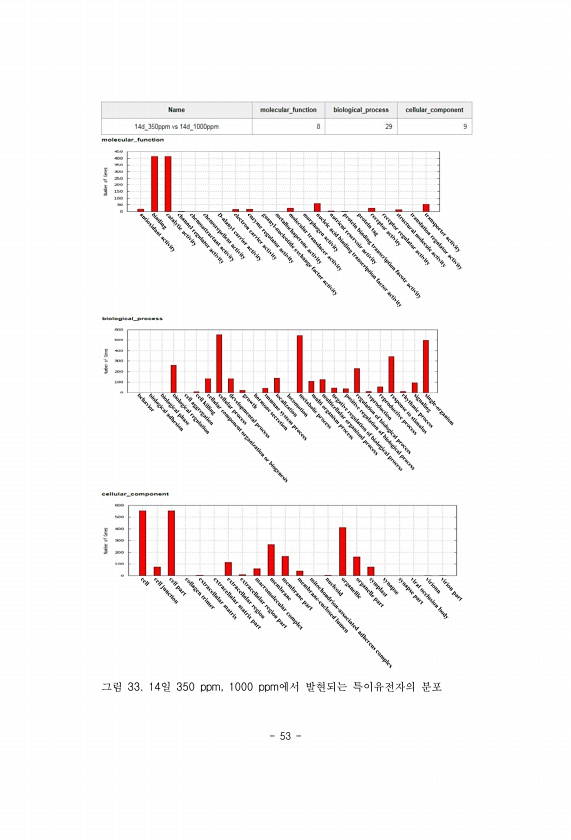
53 그림 33. 14일 350 ppm, 1000 ppm에서 발현되는 특이유전자의분포

제목 : 한라산 장기모니터링지역의 나방 다양성과 분포
발행일 : 2014-01-01 | 조회수 : 11991
카테고리 :
69 자나방과 Geometridae 53 녹두빛가지나방 성충 출현시기 Flight period 9월 Sep 10월 Oct 최고 출현시기 Peak fight time 9월 Sep 출현 Occurrence 보통 Common 600-1000m 날개편길이 Wingspan 27 30mm 분포 Distribution 한반도 중남부 C. & S. Korea , 일본 Japan Synegia limitatoides Inoue M J J A S O M J J A S O M J J A S O M J J A S O M J J A S O M J J A S O M J J A S O May Jun Jul Aug Sep Oct 2009 2010 2011 2012 2013 2014 2015 Total of 8individuals

제목 : LMO가 국내 곤충상에 미치는 영향 세부평가 항목 및 평가기준 개발 연구(III)
발행일 : 2014-01-01 | 조회수 : 10971
카테고리 :
면역학적 반응성, 생물활성과 효소활동 같은 기능적·생화학적 동질성이 입증되어야 한다. 2 실험물질의 안전성과 균질성 유전자변형작물의 비표적절지동물에 대한 위해성평가시 실험물질의 안정성과 균질성을 확보하기 위하여 실험물질이 실험종에 대하여 지속적이고 안정적인 노출이 보장되어야 하는데, 이는 실험물질의 주기적 교체를 통하여 균질성을 유지할 수 있다. 또한 실험기간 동안 실험물질의 농도관찰 및 확인이 필요하며, 이를 보장하기 위하여 살충성 단백질의 농도를 확인할 수 있는 ELISA, 살충성 단백질의 손상여부를 확인할 수 있는 Western blot analysis와 생물활성을 확인할 수 있는 실험종의 생물검정법 등을 이용하여 확인할 수 있다. 실험물질은 오염되지 않고 고유한 활성을 유지할 수 있는 환경에 보관해야...