
국립생태원에서 제공하는 수많은 자료를 e-Book으로 볼 수 있습니다.
통합검색

제목 : (2016) 백두대간보호지역 생태계 조사.추풍령~밀재
발행일 : 2014-01-01 | 조회수 : 13839
카테고리 :
지 형 National Institute of EcologyⅠ55 조사일자 격자번호 연번 지형경관명 기호 사상유형 등급 규모 가로x세로 좌표 도엽명 N E 도엽번호 구간 21/10/16 E4 01 기타 안부 36° 12′ 30.12″ 128° 00′ 9.31″ 추풍령 368131 웅이산 추풍령-큰재 21/10/16 E1 01 기타 훼손지역 36° 12′ 32.04″ 128° 00′ 31.43″ 추풍령 368131 웅이산 추풍령-큰재 21/10/16 02 기타 훼손지역 36° 12′ 33.30″ 128° 00′ 33.87″ 추풍령 368131 웅이산 추풍령-큰재 21/10/16 03 기타 훼손지역 36° 12′ 33.27″ 128° 00′ 35.77″ 추풍령 368131 웅이산 추풍령-큰재 21/10/16 E...

제목 : (2016) 기후변화에 의한 생물 적응 현상 연구. Ⅱ
발행일 : 2014-01-01 | 조회수 : 5443
카테고리 :
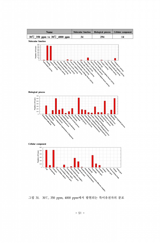
51 Name Molecular function Biological process Cellular component 30℃_350 ppm vs 30℃_4000 ppm 34 294 14 Molecular function Biological process Cellular component 그림 31. 30℃, 350 ppm, 4000 ppm에서 발현되는 특이유전자의분포

제목 : (2016) 백두대간보호지역 생태계 조사.밀재~묘적재
발행일 : 2014-01-01 | 조회수 : 12364
카테고리 :
지 형 National Institute of EcologyⅠ55 조사일자 격자번호 연번 지형경관명 기호 사상유형 등급 규모 가로x세로 좌표 도엽명 N E 도엽번호 구간 28/09/16 E5 01 기타 위험지역 36° 47′ 41.45″ 128° 03′ 20.44″ 안보 368013 조령산 이화령하늘재 28/09/16 02 급애 GM01 Ⅱ 50m×15m× 50m H 36° 47′ 55.02″ 128° 03′ 21.95″ 안보 368013 조령산 이화령하늘재 28/09/16 03 기타 훼손지역 36° 47′ 57.42″ 128° 03′ 21.55″ 안보 368013 조령산 이화령하늘재 28/09/16 04 기타 훼손지역 36° 48′ 08.42″ 128° 03′ 19.28″ 안보 368013 조령산 이화령하...

제목 : (2016) 기후변화 민감생태계 관리 및 보전방안 연구
발행일 : 2014-01-01 | 조회수 : 7448
카테고리 :
45 한라산 영실지역의 촬영 결과 검증을 위한 좌표 수집 지점에 분포하는 구상나 무 고사목의 직경을 측정하였다 그림 42 최저 직경은 5.8㎝, 최고 직경은 40.8㎝ 였으며, 생목과 마찬가지로 15.1㎝에서 20.0㎝ 범위에 해당하는 비율이 28.3%로 가장 높았다 그림 43 그림 42. 한라산 영실지역 구상나무 직경 분포 지도 그림 43. 한라산 영실지역 구상나무 직경 분포비율

제목 : (2016) 전국 무인도서 자연환경조사 : 영광권역
발행일 : 2014-01-01 | 조회수 : 11819
카테고리 :
Ⅱ. 조사결과 www.nie.re.kr ? 57 nsii , 개우무 Pterocladiella capillacea , 부챗살 Ahnfeltiopsis flabelliformis , 잎꼬시래 기 Gracilaria textorii , 개서실 Chondria crassicaulis 등이었다. 만풍도 해안 조간대 에서 출현한 해조류는 녹조류 1종, 갈조류 3종, 홍조류 9종 등 모두 13종이었다. ③ 특기사항 만풍도는 섬의 규모는 작으나 해안을 따라 암반 기질이 잘 발달되어 있어서 해조 류가 생육하기에 적합한 환경을 보였다. 해안 전반에 걸쳐 인위적 간섭이나 뚜렷한 훼손은 관찰되지 않았으며 자연성이 잘 유지되고 있었다. ④ 보전가치등급 만풍도의 보전가치 등급은 II로평가되었다.