
국립생태원에서 제공하는 수많은 자료를 e-Book으로 볼 수 있습니다.
통합검색

제목 : (2014) 국내 생태정보데이터베이스 유형분석을 통한 목표시스템 설계
발행일 : 2014-01-01 | 조회수 : 4176
카테고리 :
그림 22. 데이터 변경 관리 프로세스 예시 태스크 ·표준 신규/변경 요청 업무 담당자는 데이터 관리자에게 표준 단어, 표준 용어, 표준 도메인 등 데이터 표준 대상을 신규 또는 변경 요청한다. 표준 용어를 신규 또는 변경 시에 표준 용어를 구성하는 표준 단어 또는 표준 도메인이 존재하지 않은 경 우에는 해당 표준 단어 또는 표준 도메인을 선행 신규 요청을 해야 한다. ·표준 준수 검토 요청된 사항에 대해서 데이터 관리는 요청된 사항에 대한 표준 준수 여 부를 검토하고 검토 결과를 업무 담당자에게 피드백하며 준수 여부 체크시 요청한 용어가 해당 용어 설명에 부합하는지, 요청한 용어가 기존 용어의 의 미와 중복되는지 여부를 체크한다 역할과 담당 업무 데이터 표준 관리 프로세스를 효율적으로 수행하기 위해서는 표...

제목 : (2018) 생태계 기후변화 조사 연구
발행일 : 2018-01-01 | 조회수 : 10639
카테고리 :
34 ㄱ. -3 단계산란전 30일20일전 ㄴ. -2 단계산란전 20일10일전 ㄷ. -1 단계산란전 10일1일전 ㄹ. 0 단계산란산란후 11일 ㅁ. 1 단계산란후 12일22일 ㅂ. 2 단계부화부화후 10일 ㅅ. 3 단계부화후 11일20일 각 구간에 대해 기온과 강수량, 일조시간의 평균을 구했으며 마찬가지 방 식으로 각 기간 동안의 일조시간의 평균표준편차와 기온의 변화율도 구해 둥지의 산란일과 연관된 기상요인 자료를 얻었다. 이 때 -3 단계부터 ?1 단 계까지는 산란전 단계, 0, 1 단계는 포란단계, 2, 3단계는 양육단계에 해당한 다. 개체군 단위와 달리 둥지를 기준으로 한 경우에는 번식에 미치는 기후의 영향을 좀 더 미세하게 파악하기 위하여 위와 같이 단계를 세분화하여 고려 하였다. 3 통계 처리 기후인...

제목 : (2015) 기후변화에 의한 생물 적응 현상 연구. [1]
발행일 : 2015-01-01 | 조회수 : 6839
카테고리 :
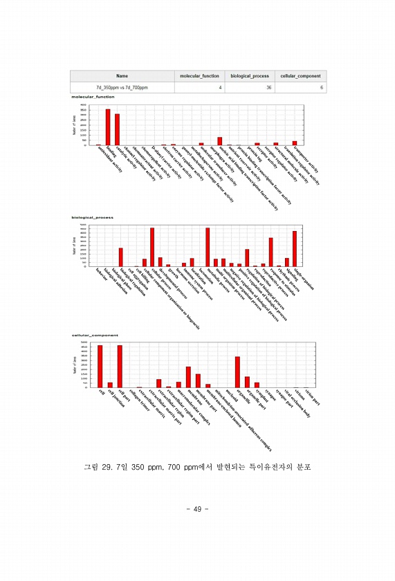
49 그림 29. 7일 350 ppm, 700 ppm에서 발현되는 특이유전자의분포

제목 : (2016) 특정도서 정밀조사 : 옹진-북부권역
발행일 : 2014-01-01 | 조회수 : 12870
카테고리 :
Ⅱ. 조사결과 www.nie.re.kr ? 53 다 주요지형 어평도는 경기만과 아산만 해역의 경계부에 위치하며, 섬의 서쪽에 덕적도와 자월 도를 비롯하여 크고 작은 도서들이 산재해 있어 파랑의 영향을 직접적으로 받는 외 해 환경으로 보기는 어려우나 인접한 도서가 수 킬로미터 이상 떨어져 있기 때문에 파랑의 영향이 비교적 크게 작용하는 내해 환경에 속한다. 어평도는 서쪽에 있는 소 어평도와 육계사주로 연결되어 있어 큰 사리 때를 제외하면 하나의 섬처럼 보인다. 섬의 북쪽 편에는 간조시에 모래톱이 드러나고, 주변의 수심이 얕은 편이어서 만조 시에도 접안이 매우 어렵다. 특히 최근에 남쪽 해역에 새롭게 모래톱이 형성되면서 더더욱 접안이 어렵게 되었다. 어평도는 해안 침식지형과 해안 퇴적지형이 고르게 발달되어 있는...
