
국립생태원에서 제공하는 수많은 자료를 e-Book으로 볼 수 있습니다.
통합검색

제목 : 지속가능한 국토이용을 위한 생태계서비스 (생태가치) 평가. [3],조절서비스 >
발행일 : 2015-01-01 | 조회수 : 11279
카테고리 :
토지이용 상태 풍속감속 가중치 풍속조절비율 환경부 토지피복중분류 유형 도심 및 고층빌딩지역 0.65 0.57-0.63 상업지역, 주거지역 저층의 도시지역 및 개발지역 0.7 0.73-0.75 공업지역, 문화체육 휴양지역 하천 호소 등의 담수역 1.0 1.00 내륙수, 해양수, 습지 그 외 토지이용 0.8 0.75-0.96 논밭, 초지 등 표 풍속감속가중치와 풍속조절비율의 비교 장은미 홍수조절서비스 분석 다음으로 홍수조절서비스 원단위 개발 절차는 그림 과 같다 농업과 학기술원의 수치정밀토양도와 환경부 중분류 토지피복도를 이용하여 전국 물 유출잠재능 분포도 를 미터 그리드 크기의 중권역 및 표준유역 단위로 작성하였다 물 유출잠재능 은 토지피복 유형과 토 양의 배수능에 따라 산정되는데 이를 고정 인자로 취급하여 ...

제목 : (2016) 생태·경관보전지역 정밀조사 : 하시동·안인사구
발행일 : 2014-01-01 | 조회수 : 12010
카테고리 :
Ⅱ. 조사결과 www.nie.re.kr ? 53 나 선사유적지와의 관련성에 대한 검토문헌을 통해 조사지역 주변은 하시동 선사유적지로 지정되어 조사가 이루어진 지역이지만 관련 자 료를 확인할 수 있는 시설물이나 표식이 없을 뿐 아니라 발굴보고서에도 좌표 값을 기 록하지 않아 아쉬움이 있은 지역이라 이를 활용하는 방안에 대해 문화재청, 강릉시와 환경부, 원주지방환경청이 협조할 필요가 있다고 판단된다. 실제 조사 과정에서 인공적인 느낌을 주는 지형과 퇴적층을 발견하였으나 이들과 하 시동 유적과의 관계 등에 대해서 파악하기 어려움이 있다. 그 이유는 상당수의 거력 원 력화된 둥근 돌 이 자연 상태에 있기 보다는 부대의 훈련장 구축에 필요한 재료로 사용 되고 있어 이들의 성격을 파악하기 어려우며, 문화재적 가치를 인...

제목 : (2016) 기후변화에 의한 생물 적응 현상 연구. Ⅱ
발행일 : 2014-01-01 | 조회수 : 5451
카테고리 :
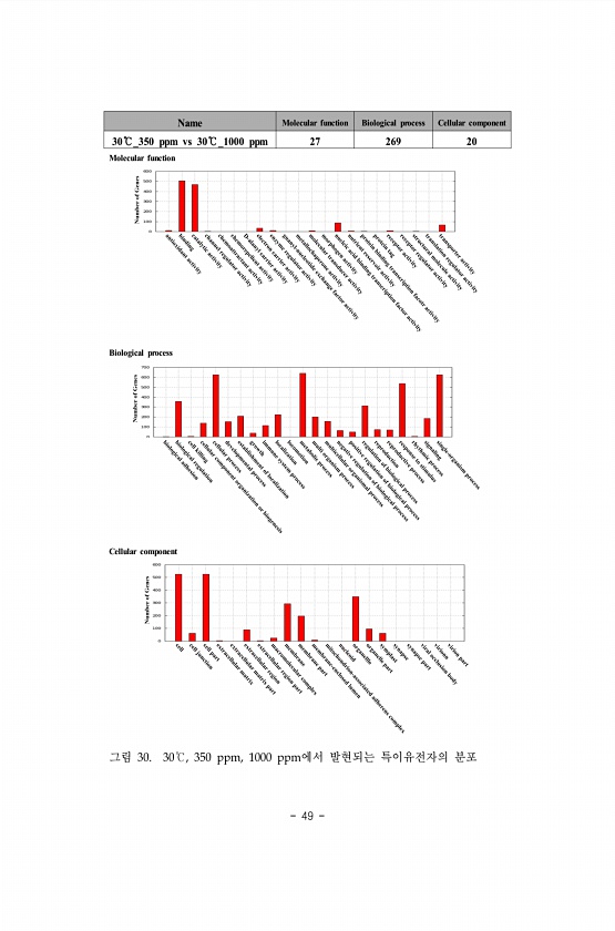
49 Name Molecular function Biological process Cellular component 30℃_350 ppm vs 30℃_1000 ppm 27 269 20 Molecular function Biological process Cellular component 그림 30. 30℃, 350 ppm, 1000 ppm에서 발현되는 특이유전자의분포

제목 : 환경영향저감 우수미흡 사례집 : 자연환경 민감사업 환경영향 저감사례
발행일 : 2017-01-01 | 조회수 : 8093
카테고리 :
64 생태통로 모니터링 모습 한국도로공사 동홍천-양양 고속도로 등 4 생태통로 모니터링 ● 생태통로를 설치한 후 서식요건을 조성하여 유도한 후 안내판조성

제목 : (2017) 해충저항성 LMO의 환경위해성 연구
발행일 : 2017-01-01 | 조회수 : 4483
카테고리 :
46 표 16. 토양 곰팡이 위해성평가 최소성장저해농도 Fungal strain MIC ㎍/mL pH 5.2 pH 7.4 Filamenteous Fungi Absidia coerulea Beauveria bassiana 0.5 0.5 Colletotrichum gloeosporioides 0.5 0.5 Fusarium graminearum 0.125 0.25 Fusarium oxysporum 0.25 0.5 Mucor ambiguous 0.5 0.5 Mucor hiemalis 0.5 0.5 Thanatephorus cucumeris Trichoderma koningiopsis 0.25-0.5 0.5 Trichoderma virens 0.125 0.5 Yeast Fungi Candida krusei ≥ 0.5...