
국립생태원에서 제공하는 수많은 자료를 e-Book으로 볼 수 있습니다.
통합검색

제목 : (2016) 해충저항성 LMO의 환경위해성 연구
발행일 : 2014-01-01 | 조회수 : 4267
카테고리 :
다양한 곤충들에서의 Vip3Aa를 이용한 사전 살충성 실험은 곤충의 먹이나 환경 등에 많은 영향을 받아 살충성 실험의 결과에 많은 변수가 작용하였다. Vip3Aa 단백질의 곤충 살충성 실험을 위해서는 곤충 생활사에 따른 실험 시 기와 개체수 조절, 먹이 급여 방법을 통한 최적 먹이량 정립, 상온실험과 생육 상 실험 병행, 곤충 세대별 반복 실험, 새로운 곤충에 대한 실험, Vip3Aa 단백 질의 투여량과 방법 등을 정립화 하여 체계화된 살충성 실험을 진행하여야 할 것 같다. 위의 사항을 고려하여 차기년도에는 Vip3Aa 단백질 살충성 실험을 정밀하고 구체적으로 진행을 할 것이다. 7. 국내 박테리아, 곰팡이를 이용한 Vip3Aa 단백질의 환경위해성 평가 비의도적으로 유출될 수 있는 Vip3Aa 단백질의 국내...

제목 : LMO 자연환경 모니터링 및 사후관리 연구. Ⅷ
발행일 : 2014-01-01 | 조회수 : 6492
카테고리 :
17 NIE16-G1-2017 경기도 안성시 원곡면 외가천리 축산농가 N N 18 NIE16-G1-2018 경기도 고양시 일산동구 고봉동 축산농가 N N 19 NIE16-G1-2019 경기도 양주시 만송동 축제지 N N 20 NIE16-G1-2020 경기도 여주시 가남면 금당리 운송로 N N 21 NIE16-G6-2005 경기도 평택시 청북면 어연리 운송로 N N 충청권 순번 시료번호 구주소 새주소 유입경로 strip kit CP4EPSPS PAT/pat 1 NIE16-G3-2001 충남 천안시 서북구 성환읍 안궁리 운송로 N N 2 NIE16-G3-2002 충남 천안시 서북구 입장면 연곡리 축산농가 N N 3 NIE16-G3-2003 충남 천안시 서북구 성환읍 양령리 운송로 N N 4 NIE16-G3-20...

제목 : (2016) 전국 해안사구 정밀조사 : 금일명사사구
발행일 : 2014-01-01 | 조회수 : 10880
카테고리 :
Ⅱ. 금일명사 사구 www.nie.re.kr ? 51 측선 위치 깊이 cm 평균 phi 분급 phi 왜도 첨도 측선 위치 cm 깊이 phi 평균 phi 분급 왜도 첨도 60 2.02 0.55 0.03 1.02 60 1.44 0.78 -0.15 1.19 100 1.91 0.55 0.00 1.03 100 1.60 0.57 -0.04 1.07 3 20 0.68 1.88 -0.38 0.76 2 20 1.58 0.74 -0.14 1.11 60 1.86 0.64 -0.06 1.16 60 1.12 0.83 -0.05 1.07 85 1.92 0.77 -0.20 1.41 100 1.66 0.58 -0.05 1.18 4 20 1.88 0.88 -0.33 1.73 3 20 1.39 0.82 -0.03 1.11 60 1.94 0...

제목 : (2016) 기후변화에 의한 생물 적응 현상 연구. Ⅱ
발행일 : 2014-01-01 | 조회수 : 5451
카테고리 :
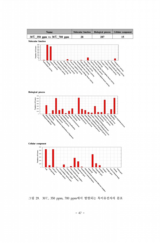
47 Name Molecular function Biological process Cellular component 30℃_350 ppm vs 30℃_700 ppm 28 287 15 Molecular function Biological process Cellular component 그림 29. 30℃, 350 ppm, 700 ppm에서 발현되는 특이유전자의분포

제목 : 생태계 보전기술 개발 및 기반 구축
발행일 : 2014-01-01 | 조회수 : 16062
카테고리 :
군락명 군락기호 면적 ㎡ 면적 ㎢ 소나무군락 Pd 119,990,011.2 120.0 신갈나무군락 Qm 29,645,279.9 29.6 굴참나무군락 Qv 6,951,485.9 7.0 상수리나무군락 Qa 4,034,330.4 4.0 표 25. 대구광역시 일대 주요 군락 별 면적 그림 21. 대구광역시 일대 현존식생도 주요 군락 43