
국립생태원에서 제공하는 수많은 자료를 e-Book으로 볼 수 있습니다.
통합검색

제목 : 생물다양성과학기구 지식 및 데이터 기술지원단 운영
발행일 : 2017-01-01 | 조회수 : 9346
카테고리 :
45 1 1961-2012사이에 식량농업기구에 보고된 국가별 꿀벌군집 수의 연 증가율 %/년 2 국가별 약용식물의 종 풍부도 3 산림면적비율 4 일인당 곡물 생산량 kg/인 5 일인당 어획량 kg/인 6 국가별 버섯 및 송로 생산량 헥토그램/헥타르 7 주변 대기오염에 기인한 질병 부담 8 기후변화에 의한 사망 9 주관적인 웰빙 10 태어날 때의 건강기대 수명 년 11 스트레스를 받지 않는 인구수 12 지금의 평균 행복감 13 영양 결핍 상태인 사람의 비율 14 안전하게 관리되고 있는 식수 서비스를 이용하는 사람의 비율 15 건강 자산 종합 지수 16 약용식물과 관련된 토착 및 지역 지식 추세 17 침식, 홍수, 산사태 등의 영향으로부터 지역주민 또는 자산을 보호하거나 식량 공급 서비스를 제공하기 위해 계획되...

제목 : (2015) DMZ 일원 생태계 조사 :민통선이북 동부해안권역
발행일 : 2014-01-01 | 조회수 : 15079
카테고리 :
Ⅱ. 조사결과 www.nie.re.kr ? 51 그림 40. 향로봉 일대의 표고분포 그림 41. 향로봉 일대의 경사도분포

제목 : (2016) 기후변화에 의한 생물 적응 현상 연구. Ⅱ
발행일 : 2014-01-01 | 조회수 : 5454
카테고리 :
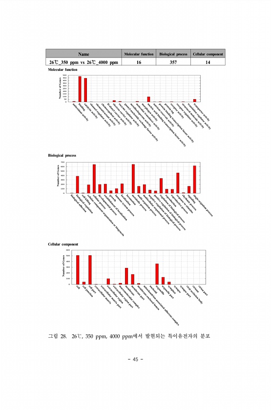
45 Name Molecular function Biological process Cellular component 26℃_350 ppm vs 26℃_4000 ppm 16 357 14 Molecular function Biological process Cellular component 그림 28. 26℃, 350 ppm, 4000 ppm에서 발현되는 특이유전자의분포

제목 : (2016) 국가장기생태연구
발행일 : 2014-01-01 | 조회수 : 17959
카테고리 :
??????????????????????????????????????????????????????

제목 : (수입과 반입에 심사가 필요한) 환경부 지정 위해우려종. 2 >
발행일 : 2015-01-01 | 조회수 : 9595
카테고리 :
수입과 반입에 심사가 필요한 환경부 지정 위해우려종 Ⅱ 61 참고문헌 1. http//www.fishbase.org/summary/Perca-fluviatilis.html 2. http//www.iucnredlist.org/details/16580/0 3. http//www.dpi.nsw.gov.au/fisheries/pests-diseases/freshwater-pests/species/redfin-perch 4. Closs, G.P., Ludgate, B., Goldsmith, R.J., 2003. Controlling European perch Perca fluviatilis lessons from an experimental removal. InManaging invasive freshwater fi...