
국립생태원에서 제공하는 수많은 자료를 e-Book으로 볼 수 있습니다.
통합검색

제목 : (2015) 생태계서비스 평가 기반 구축
발행일 : 2015-01-01 | 조회수 : 12903
카테고리 :
37 을 차지하며 논과 밭을 포함한 농경지의 면적도 많은 비중을 차지하였다 나 총 생산량 GPP, Pg 산정 년대에 국제적으로 식생별 과 비율을 밝히는 연구가 진행되었다 일본 환경성 군락을 구성하는 식생과 기후 등 환경이 나 라마다 다르기 때문에 국제적으로 진행된 연구에서 알게 된 자료를 우리나 라에 바로 적용시키기에는 무리가 있다 따라서 현재까지 공주와 서천 주변 지역에서 진행된 순 생산량 연구들을 이용하고자 하였다 또한 에 대한 연구는 우리나라에서 진행된 것이 없어 국제적으로 밝혀진 자료를 이 용하여 국내의 와 함께 를 산정하였다 이렇게 국내 기존 연구들에서 얻을 수 있는 자료들은 최대한 조사하여 사용하였고 얻지 못한 자료는 국 외 자료를 사용하였다 평가 결과 가 서천 식생분포 현황 및 면적 그림 는 서...

제목 : (2016) 기후변화에 의한 생물 적응 현상 연구. Ⅱ
발행일 : 2014-01-01 | 조회수 : 5458
카테고리 :
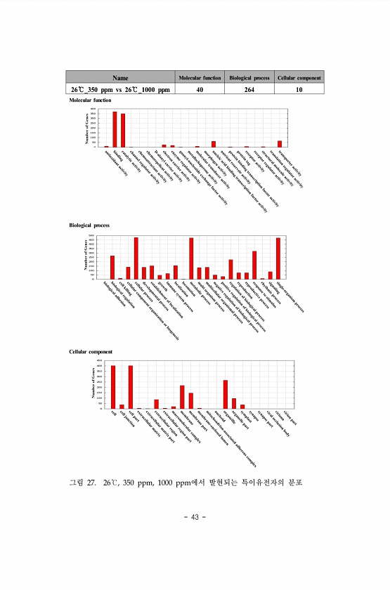
43 Name Molecular function Biological process Cellular component 26℃_350 ppm vs 26℃_1000 ppm 40 264 10 Molecular function Biological process Cellular component 그림 27. 26℃, 350 ppm, 1000 ppm에서 발현되는 특이유전자의분포

제목 : (2018) 전국 무인도서 자연환경조사 : 여수 2권역
발행일 : 2018-01-01 | 조회수 : 13365
카테고리 :
II. 조사결과 www.nie.re.kr ? 49 1 · 북위 34° 36′ 49.82″, 동경 127° 35′ 7.92″에 위치하고 있는 상계도는 행정구역상 전 남 여수시 화정면 낭도리에 속한다. 여수반도로부터 직선거리는 약 4km , 서쪽의 낭도와 는 1.8km 떨어져 있으며, 전체 면적은 약 68,720 ㎡에 달한다. 장재도의 장축은 북동-남 서 방향으로 약 450m 이고, 고도는 약 20m 내외이다. 식생은 정상부를 중심으로 교목이 주로 분포하고 고도가 낮아짐에 따라 초본류 식생이 일부 분포하고 있다. 지질은 중생대 백악기의 화강암으로 구성되어 있으며 주 절리의 방향은 북북동-남남서 방향이다. 토양 은 약 20cm 정도의 심도를 보인다. · 그림 3-2. 남서쪽 해안 전경 섬의 꼬리처럼 길게 늘어진 ...

제목 : Ecobank 1단계 4차년도 구축
발행일 : 2018-01-01 | 조회수 : 4890
카테고리 :
47 다. 데이터 품질 관리 방안 1 데이터 품질 관리 조직 구성 공공데이터의 품질관리 조직은 공공데이터제공책임관 및 실무담당자는 기관 전체의 데이터 품질관리를 총괄하여 관리 법 제12조 해야 하며, 각 기관은 공공데이터의 안정적 품질수준 확 보를 위해 기관차원의 상시적인 품질관리를 위한 조직·인력을 구성하여 운영해야 된다. 따라서 데이터 관리를 위한 관리 위원회를 구성하고 데이터의 품질관리와 데이터품질 수행을 수행하 기 위한 조직이 필요하다. 따라서 국립생태원의 조직 구성을 분석한 결과 독립적인 품질위원회 를 그림 4-9 와 같이 구성할 필요성이 있다. 그림 4-9 국립생태원 생태정보 관리조직 구성 안 데이터 관리 위원회는 데이터의 품질관리 위원회, 데이터 품질관리팀, 데이터 품질 수행팀으 로 구분되며 각...

제목 : PNIE(Proceedings of National Institute of Ecology) Vol. 2 Issue 3
발행일 : | 조회수 : 2017
카테고리 :
Scientifc Name Clerodendrum trichotomum Thunb. Callicarpa japonica Thunb. Callicarpa dichotoma Lour. Raeusch. ex K.Koch Lamiaceae Perilla frutescens var. japonica Hassk. Hara Mosla scabra Thunb. C.Y.Wu & H.W.Li Mentha arvensis L. var. piperascens Malinv. ex Holmes Lycopus lucidus Turcz. ex Benth. Scutellaria dependens Maxim. Mosla dianthera Buch.-Ham. ex Roxb. Maxim. Elsholtzia ciliata Thunb. Hyl....