
국립생태원에서 제공하는 수많은 자료를 e-Book으로 볼 수 있습니다.
통합검색

제목 : (2015) 특정도서 정밀조사 : 서산, 태안, 고흥, 보성권역
발행일 : 2015-01-01 | 조회수 : 18234
카테고리 :
2015 특정도서 정밀조사 서산·태안·고흥·보성 권역 48 ? National Institute of Ecology 8 해조류 가 개요 흑어도 해안은 경사가 급한 암반 지대가 발달되어 있고 부분적으로 조수웅덩이가 형성되어 있었다. 조간대 암반은 해조류가 부착하기에 적합한 기질 특성을 보여 해조류 생육환경이 양호한 상태를 보였다. 나 출현종, 멸종위기종 및 희귀종 흑어도 조간대에서 관찰된 대표적인 해조류는 녹조류 구멍갈파래 Ulva australis , 홍조류 애기가시덤불 Caulacanthus ustulatus , 참가시우무 Hypnea charoides , 진두발 Chondrus ocellatus , 작은구슬산호말 Corallina pilulifera , 애기돌가사리 Chondracanthus interm...

제목 : (2017) 유전자 기반 LMO의 안전성 평가기반 구축
발행일 : 2017-01-01 | 조회수 : 4602
카테고리 :
34 번데기는 주로 사육상자의 모서리나 은폐물을 이용하여 형성하며 성충의 교미는 주로 저녁이나 밤에 하는 것으로 나타나 가급적 사육상자는 어둡게 유지하였다. 순수분리 정제한 Snf7과 GFP dsRNA를 1 ㎍/g의 농도가 되도록 준비하여 RNase Free water에 15 ㎖의 볼룸으로 맞추었으며 곱게 간 콩과 옥수수 6040% 혼합곡류 25 g에 혼합하여 충분히 흡수되도록 섞어 상온에서 30분 정도 두었다. 소형 페트리디쉬 지름 80 ㎜내외 당 5 g의 사료를 급이하고, 사육 2세대를 3-4령 유충을 실험군으로 선발하여 각 페트리디쉬당 10마리 정도의 조명나방 유충을 실험하였다. 총 시험 개체수는 시험물질 당 50마리씩 실시하였고 무처리군도 50마리를 시험에 사용하였다. 실험시 사용한 배양기의 온도는 ...

제목 : (2015) 국가장기생태연구 : 제2차, 1단계 2차년도 보고서
발행일 : 2015-01-01 | 조회수 : 16172
카테고리 :
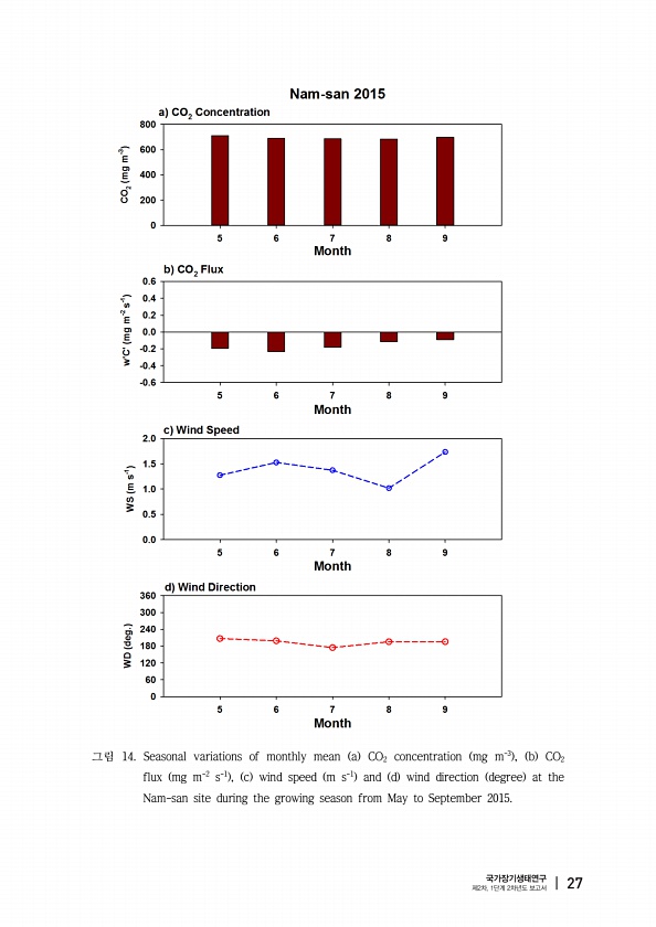
그림 14. Seasonal variations of monthly mean a CO2 concentration mg m-3 , b CO2 flux mg m-2 s-1 , c wind speed m s-1 and d wind direction degree at the Nam-san site during the growing season from May to September 2015. 국가장기생태연구 제2차, 1단계 2차년도 보고서 |27

제목 : 외래생물 전국 서식 실태조사. 2
발행일 : 2014-01-01 | 조회수 : 17135
카테고리 :
38 16-1 조사지점 완도군 군외면 대문리 완도수목원 일원 17-1 조사지점 장성군 삼계면 18-1 조사지점 장흥군 장동면 용곡리 대산대만꽃사슴농장 일원 18-2 조사지점 장흥군 장동면 제암산 일원 19-1 조사지점 진도군 임회면 고정리 19-2 조사지점 진도군 의신면 사천리 19-3 조사지점 진도군 임회면 삼막리 삼막봉 일원 20-1 조사지점 함평군 신광면 노승산 일원 그림 8. 전라남도의 조사지점 전경 계속

제목 : (2018) 지역의 생태가치 평가 및 인식 증진방안 연구
발행일 : 2018-01-01 | 조회수 : 8239
카테고리 :
36 지지서비스는 조류 종 다양성과 서식처 질을 평가하였다. 조류 종 다양성 평가를 위해 제3차 전국자연환경조사 중 조류 자료를 활용하였다 환경부, 2018 조류는 다른 분류군에 비해 육안으로 발견하기 쉽고, 비교적 시민들과 친근하기 때문에 생물종의 다양성을 모니터링하거나 공원, 산림, 하천, 바다와 같은 경관에서 자연성을 나타내는 중요한 역할을 한다 Watson et al., 2011 특히 겨울철 강 하구나 해안 습지 등에서 많은 사람들이 조류를 탐조하거나 사진영상을 촬영하는 등 문화서비스의 역할도 제공하고 있다. 사용된 모형은 종 분포 모형 중 생태지위모형을 사용하였다. 서식처 질에 대한 평가는 추후 에 작성할 예정이다. 문화서비스는 접근성 및 지형경관을 평가하였다. 접근성은 도시계획과정 중 토지개발 및...