
국립생태원에서 제공하는 수많은 자료를 e-Book으로 볼 수 있습니다.
통합검색

제목 : (2016) 기후변화에 의한 생물 적응 현상 연구. Ⅱ
발행일 : 2014-01-01 | 조회수 : 5459
카테고리 :
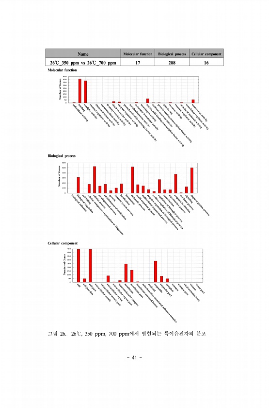
41 Name Molecular function Biological process Cellular component 26℃_350 ppm vs 26℃_700 ppm 17 288 16 Molecular function Biological process Cellular component 그림 26. 26℃, 350 ppm, 700 ppm에서 발현되는 특이유전자의분포

제목 : (2014) 국내 생태정보데이터베이스 유형분석을 통한 목표시스템 설계
발행일 : 2014-01-01 | 조회수 : 4176
카테고리 :
유일성 데이터 명칭은 해당 개념을 유일하게 구분해 주는 이름이어야 한다. 하나 의 개념에 대해 모든 사용자들이 통일된 용어를 사용할 수 있도록 오직 하나 의 명칭만을 허용해야 한다. 예1 고객 계좌번호, 고객 구좌번호 ‘고객 계좌번호’로 통일 예2 EMAIL 주소, EMAIL ‘EMAIL 주소’로 통일 업무적 관점의 보편성 데이터 명칭은 업무적 관점에서 보편적으로 인지되는 이름이어야 한다. 일 반적으로 기업 또는 조직 내의 구성원들이 해당 개념을 지칭할 때 가장 많이 사용하는 업무 용어를 그대로 사용하는 것이 바람직하다. 의미 전달의 충분성 데이터 명칭은 그 이름만으로 데이터의 의미 및 범위가 파악될 수 있어야 한다. 업무나 사용자의 관점에 따라 의미가 달라질 수 있는 이름은 수식어 등을 사용함으로써 구체화...


제목 : (2018) 제2차 국가장기생태연구
발행일 : 2018-01-01 | 조회수 : 15760
카테고리 :
8 NEP = NPP HR ----------------- [식 1] HR = SR AR ---------------------- [식 2] 식 1과 식 2에서 알 수 있는 것처럼 탄소수지의 정확한 파악을 위해서 다양한 단계의 탄소축적량과 이동량의 정호가한 파악은 필수불가결한 요소이다 Nakane 1995; Bouwmann & Germon 1998; Wang et al. 2002 국내에서 기후변화에 대한 장기적인 탄소순환 변화 자료를 수집하기 위해 일부 장기적인 연구과제가 진행되고 있지만 외국에 비해서는 아직도 그 규모와 예산이 매우 적은 형편이며 그 연구 수준 또한 초보 단계를 거의 벗어나지 못하고 있는 실정이다. 특히, 생태계 전반에 대한 시스템적인 연구는 매우 한정적이고 단기간에 진행되는 것이 대부분이...

제목 : 생태계 장기모니터링 지역의 기후변화 영향
발행일 : 2018-01-01 | 조회수 : 6788
카테고리 :
56 [참고문헌] Brown Jr KS, Hutchings RW. 1997. Disturbance, fragmentation and the dynamics of diversity in Amazonian forest butterflies. In Biological dynamics of tropical forest fragments Laurance WF, Bierregaard RO, eds. , pp. 91-110. Chicago Univ. Press. Kitching RL, Orr AG, Thalib L, Mitchell H, Hopkins MS, Graham AW. 2000. Moth assemblages as indicators of environmental quality in remnants of upl...