
국립생태원에서 제공하는 수많은 자료를 e-Book으로 볼 수 있습니다.
통합검색

제목 : 도시생태현황지도 접수 및 검토보고서 : 환경부 수탁과제 최종보고서
발행일 : 2019-01-01 | 조회수 : 5642
카테고리 :
05 1 식물분야 조사 시기 4월부터 10월까지 수행한다. 대상종 선정 국내에 자생하는 관속식물을 대상 식재종 제외 으로 하며 꽃, 잎, 열매, 수피, 수관 등 형태가 양호한 개체를 선정한다. 사진촬영 방법 ① 위치정보가 자동으로 입력될 수 있도록 스마트폰을 설정한 후 사진 촬영에 임한다. ② 개체당 주변 서식환경과 식물종의 식별이 가능 하도록 여러장의 사진 원거리 서식환경+개체 , 근거리 개체 , 근접 꽃, 잎, 열매, 수피 등 특징적인 식물체 일부 을 촬영한다. 조 사 분야

제목 : 사회성 동물의 행동생태 연구. Ⅰ
발행일 : 2014-01-01 | 조회수 : 3480
카테고리 :
30 가 구눙게데빵랑오 국립공원 나 우중클론 국립공원 Pulau Handelum · 위치6°4151.32남 107°00‘48.83“동 · 고도 최소,평균,최대 958,1168,1415m · 서식지 특성자바섬 지역 내 고도가 높은 지역. 도시와 인접하여 서식지 분절이 많이 진행됨. · 총 거리8.62km · 위치6°4511.90남 105°25‘33.10“동 · 고도 최소,평균,최대 4,14,21m · 서식지 특성우중클론 국립공원을 이루는 섬 중 하나. 바닷바람의 영향으로 매우 건조한 섬 주변부. · 총 거리2.18km · 위치6°4533.95남 106°58‘56.83“동 · 고도 최소,평균,최대 1329, 1542, 1765m · 서식지 특성자바섬 내 국립공원 중심부. 열대서식지가 비교적 잘 보전되어 있으나 ...

제목 : 국립생태원 장애인대상 생태관광 프로그램 개발 및 운영 용역 : 최종보고서
발행일 : 2016-01-01 | 조회수 : 1305
카테고리 :
?국립생태원 장애인대상 생태관광 프로그램 개발 및 운영? 용역 46 일 자 지 역 교통 시간 일정 장소 비고 제 2 일 서 천 전 용 버 스 07300800 30’ 기상 및 세면 08000840 40’ 조식 서천 청소년수련관 08400930 50’ 객실 정리 및 퇴실 09301030 60’ 장항송림산림욕장 장항송림 산림욕장 10301100 30’ 이동 산림욕장→자원관 11001200 60’ 국립해양생물자원관 국립해양 생물자원관 해설사 12001230 30’ 이동 자원관→식당 12301400 90’ 중식 문헌서원 한정식 14001430 30’ 문헌서원 방문 14301500 10’ 이동 문헌서원→갈대밭 15001550 50’ 신성리 갈대밭 방문 15501630 40’ 장항역으로 이동 16301650 20’ 장항...

제목 : (2018) 외래생물 정밀조사. 5
발행일 : 2018-01-01 | 조회수 : 4723
카테고리 :
32 Cuora serrata가 교잡에 의한 종임이 밝혀진 바 있으며 Parham et al. 2001; Wink et al. 2001; Stuart and Parham 2004; Spinks et al. 2004 , Stuart와 Parham 2006 에 의해 Ocadia glyphistoma, O. philippeni, Sacalia pseudicellata 또한 대형번식농장에서 형성된 잡종임이 밝혀진 바 있다. 국내 수입되고 있는 외래거북류는 아시아지역에서 약 79%가 수입되고 있 으며, 이 중 2015년 기준 중국에서 수입되는 비중이 76.7%로 압도적으로 높 은 것으로 나타났다 이 등 2016 외래거북류에 대한 지속적인 모니터링과 관리, 검역이 이뤄지지 않는다면, 향후 국내 서식하고 있는 민물거북류...

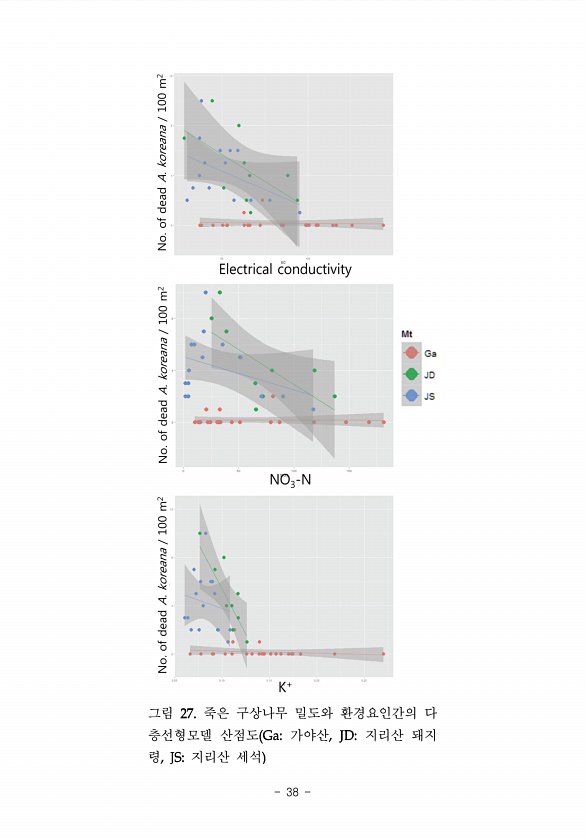
제목 : 기후변화에 의한 아고산 생태계 적응 연구
발행일 : 2015-01-01 | 조회수 : 4648
카테고리 :
38 그림 죽은 구상나무 밀도와 환경요인간의 다 층선형모델 산점도 가야산 지리산 돼지 령 지리산세석