
국립생태원에서 제공하는 수많은 자료를 e-Book으로 볼 수 있습니다.
통합검색

제목 : (2018) 생태·경관우수지역 발굴조사
발행일 : 2018-01-01 | 조회수 : 20324
카테고리 :
331 학명 국명 1 2 3 4 5 6 7 8 9 비고 생활형 Sigesbeckia glabrescens Makino 진득찰 0 Th Solidago gigantea subsp. serotina Aiton McNeill 미국미역취 0 0 외래식물 H Sonchus asper L. Hill 큰방가지똥 0 외래식물 Th Sonchus oleraceus L. 방가지똥 0 외래식물 Th Tagetes minuta L. 만수국아재비 0 외래식물 Th Taraxacum officinale F. H. Wigg. 서양민들레 0 0 0 0 0 0 외래식물 H Xanthium canadense Mill. 큰도꼬마리 0 0 0 0 0 0 0 0 0 외래식물 Th Youngia japonica L. DC. 뽀리뱅이 0 0 0 0...

제목 : (2018) 전국 무인도서 자연환경조사 : 여수 3권역
발행일 : 2018-01-01 | 조회수 : 11811
카테고리 :
V. 부 록 www.nie.re.kr ?331 No 05 부도 1 조사일자 2018 년 4 월 24 일 조사자이남주, 김갑식 식생조사표 군락명곰솔군락 조사지역부도 도엽명 격자번호 식생상관상록침엽수림 면적10×10 ㎡ 위?경도 GPS 34°4121.63N, 127°4236.29E 해발10 m 지형□산정 □능선 ■사면 ■상□중□하 □계곡□평지 미세지형■평면 □돌출 □함몰 □요철 방위N 토양■갈색삼림토□적황색삼림토□암적색삼림토□회갈색삼림토□침식토□미숙토□암쇄토 경사5 ° 낙엽부식층 cm □≥20 □ 15 ■ 10 □ 5 □0 암석노출 % □≥51□ 25□ 5■0 계층구분 높이 m 식피율 % 우점종 특기사항교 목 층 T1 8 70 곰솔 아교목층 T2 6 20 사스레피나무 관 목 층 S 1.5 40 사스레피나무 초 ...

제목 : (2016) 전국 무인도서 자연환경조사 : 영광권역
발행일 : 2014-01-01 | 조회수 : 11643
카테고리 :
Ⅴ. 부 록 www.nie.re.kr ? 331 국명 학명 1 2 3 4 5 6 7 8 9 10 11 12 13 14 감국 Dendranthema indicum L. Des Moul. 0 0 0 0 0 0 0 등골나물 Eupatorium japonicum Thunb. 0 벌등골나물 Eupatorium makinoi T. Kawahara & Yahara var. oppositifolium T. Kawahara & Yahara 0 0 0 왕고들빼기 Lactuca indica L. var. laciniata H. Hara 0 미역취 Solidago virgaurea L. subsp. asiatica Kitam. ex Hara 0 방가지똥 Sonchus oleraceus L. 0 0 0 뽀리뱅이 Youngia ja...

제목 : (2015) 전국 무인도서 자연환경조사 : 통영 권역
발행일 : 2015-01-01 | 조회수 : 19520
카테고리 :
Ⅱ. 조사결과 www.nie.re.kr ? 331 Rhodophyta 홍조류 Corallinaceae 산호말과 Amphiroa anceps 넓은게발 Amphiroa ephedraea 둥근띠게발 Corallina pilulifera 작은구슬산호말 Crustose coralline algae 무절석회조류 Rhodomelaceae 빨간검둥이과 Chondria sp. 개서실류 Polysiphonia sp. 붉은실류 Gelidiaceae 우뭇가사리과 Gelidium elegans 우뭇가사리 Pterocladiella capillacea 개우무 Cystocloniaceae 열매가지과 Hypnea charoides 참가시우무 Endocladiaceae 풀가사리과 Gloiopeltis tenax 풀가사리 Gigartina...

제목 : (2018) 제2차 국가장기생태연구
발행일 : 2018-01-01 | 조회수 : 15149
카테고리 :
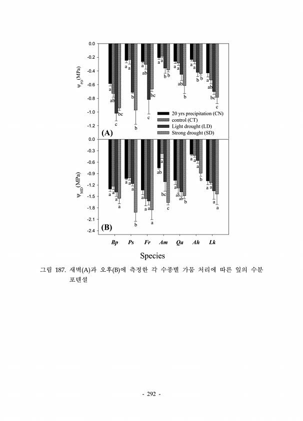
292 ? PD MPa -1.2 -1.0 -0.8 -0.6 -0.4 -0.2 0.0 20 yrs precipitation CN control CT Light drought LD Strong drought SD ab b bc a b b b c a a a ab bc c a b b a ab a a b bc a a ab c a A Species Bp Ps Fr Am Qa Ah Lk ? MD MPa -2.4 -2.1 -1.8 -1.5 -1.2 -0.9 -0.6 -0.3 0.0 a a a a a a a a b c a a a a ab a b a a bc a a a B a a ab b a ab 그림 187. 새벽 A 과 오후 B 에 측정한 각 수종별 가뭄 처리에 따른 잎의 수분포텐셜