
국립생태원에서 제공하는 수많은 자료를 e-Book으로 볼 수 있습니다.
통합검색

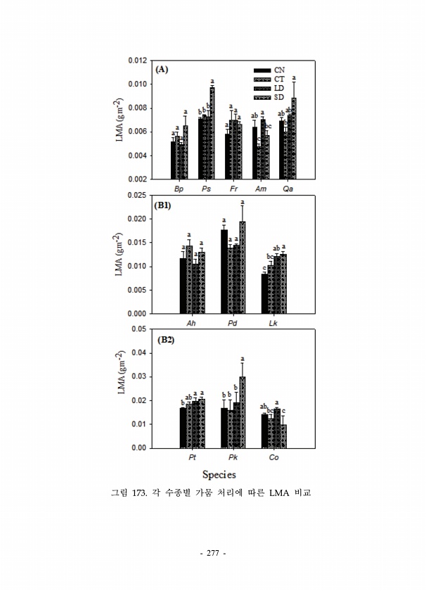
제목 : (2018) 제2차 국가장기생태연구
발행일 : 2018-01-01 | 조회수 : 15251
카테고리 :
277 그림 173. 각 수종별 가뭄 처리에 따른 LMA비교


제목 : (2018) 특정도서 정밀조사 : 신안북부권역
발행일 : 2018-01-01 | 조회수 : 20839
카테고리 :
2018 특정도서 정밀조사 신안 1 북부권역 310 ? National Institute of Ecology 2 밖다리섬은 중생대 백악기 화산분출로 형성된 화산각력암으로 주로 이루어져 있다. 풍 화에 취약한 특성을 지닌 화산각력암은 상부에 박리 현상이 발생하여 수평절리가 다수 형 성되어 있으며, 다양한 크기의 타포니가 형성되어 있기도 하다. 침식이 이루어진 화산각 력암 하부에서는 기반암인 사암 및 수중에서 퇴적된 것으로 보이는 화산재응회암이 드러 나 있다. 따라서 밖다리섬의 상부는 화산각력암이 두텁게 사암 및 화산재응회암을 뒤덮고 있는 것으로 보인다. 사진 377. 역암층에 형성된 타포니 사진 378. 남쪽 해안의 타포니 사진 379. 북쪽 해안의 타포니 사진 380. 북서쪽 해안의파식대

제목 : (2018) 전국 무인도서 자연환경조사 : 여수 2권역
발행일 : 2018-01-01 | 조회수 : 12951
카테고리 :
316 국명 학명 1 2 3 4 5 6 7 8 9 10 11 12 13 14 큰까치수염 Lysimachia clethroides Duby ○ ○ ○ ○ ○ ○ ○ ○ 갯까치수염 Lysimachia mauritiana Lam. ○ ○ ○ ○ ○ ○ ○ ○ ○ ○ ○ ○ 돈나무과 PITTOSPORACEAE R. Br. 돈나무 Pittosporum tobira Thunb. W.T. Aiton ○ ○ ○ ○ ○ ○ 돌나물과 CRASSULACEAE J. St.-Hil. 큰꿩의비름 Hylotelephium spectabile Boreau H. Ohba ○ 기린초 Sedum kamtschaticum Fisch. & C.A. Mey. ○ ○ ○ ○ ○ 땅채송화 Sedum oryzifolium Makino ○ ○ ○ ○ 장...
